Ag2Cl2Se2
MatHub2d-1106-Ag2Cl2Se2
| Property |
Value |
| Space group |
(59, 'Pmmn') |
| Crystal system |
rectangular |
| Magnetic |
No |
| Band gap (PBE) (eV) |
0.00 |
| Free energy (eV) |
-13.467 |
| Free energy / atom (eV) |
-2.245 |
Lattice Parameters (basic)
| a, b, c (Å): | 3.628 | 3.863 | 30.000 |
| α, β, γ (°): | 90.000 | 90.000 | 90.000 |
Lattice Parameters (computed)
| a, b, c (Å): | 4.137 | 3.560 | 30.000 |
| α, β, γ (°): | 90.000 | 90.000 | 90.000 |
| Property |
Value |
| Band gap |
0.00 eV |
| E-fermi |
-4.321 eV |
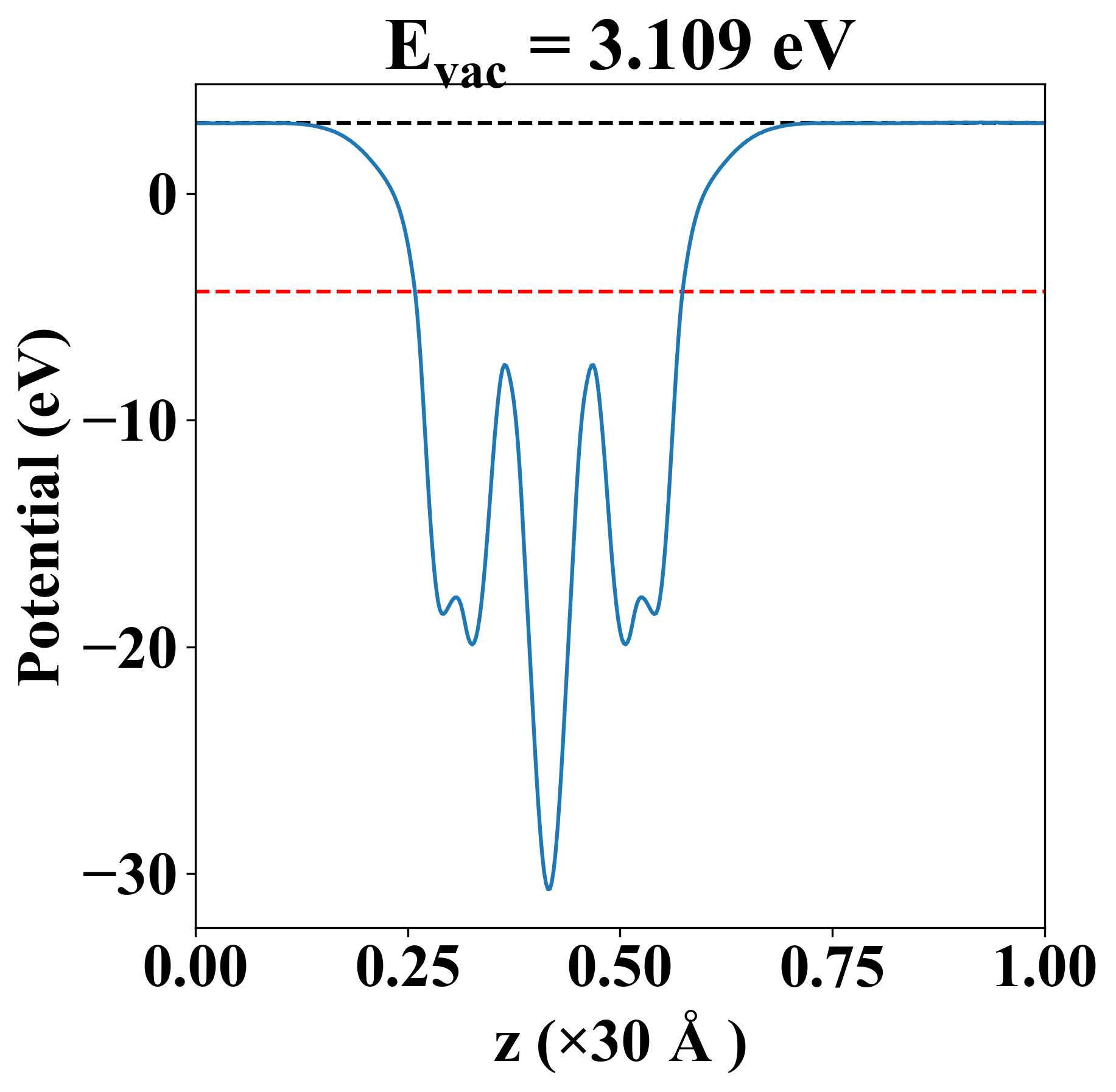
| Vacuum level |
3.109 eV |
| VBM |
-4.323 eV |
| CBM |
-4.320 eV |
| Work function |
7.431 eV |
| Direct gap |
No |
| Property |
Value |
| Band gap |
0.00 eV |
| E-fermi |
-4.321 eV |
| Vacuum level |
3.109 eV |
| VBM |
-4.323 eV |
| CBM |
-4.320 eV |
| Work function |
7.431 eV |
| Cij (N/m) |
xx |
yy |
xy |
| xx |
60.805 |
22.026 |
0.000 |
| yy |
22.026 |
28.702 |
0.000 |
| xy |
0.000 |
0.000 |
8.010 |
| Phonon mode at Γ point (THz) |
| Property |
Value |
| from where |
c2db-8 |