Ag2Cl2S2
MatHub2d-1105-Ag2Cl2S2
| Property |
Value |
| Space group |
(59, 'Pmmn') |
| Crystal system |
rectangular |
| Magnetic |
Yes |
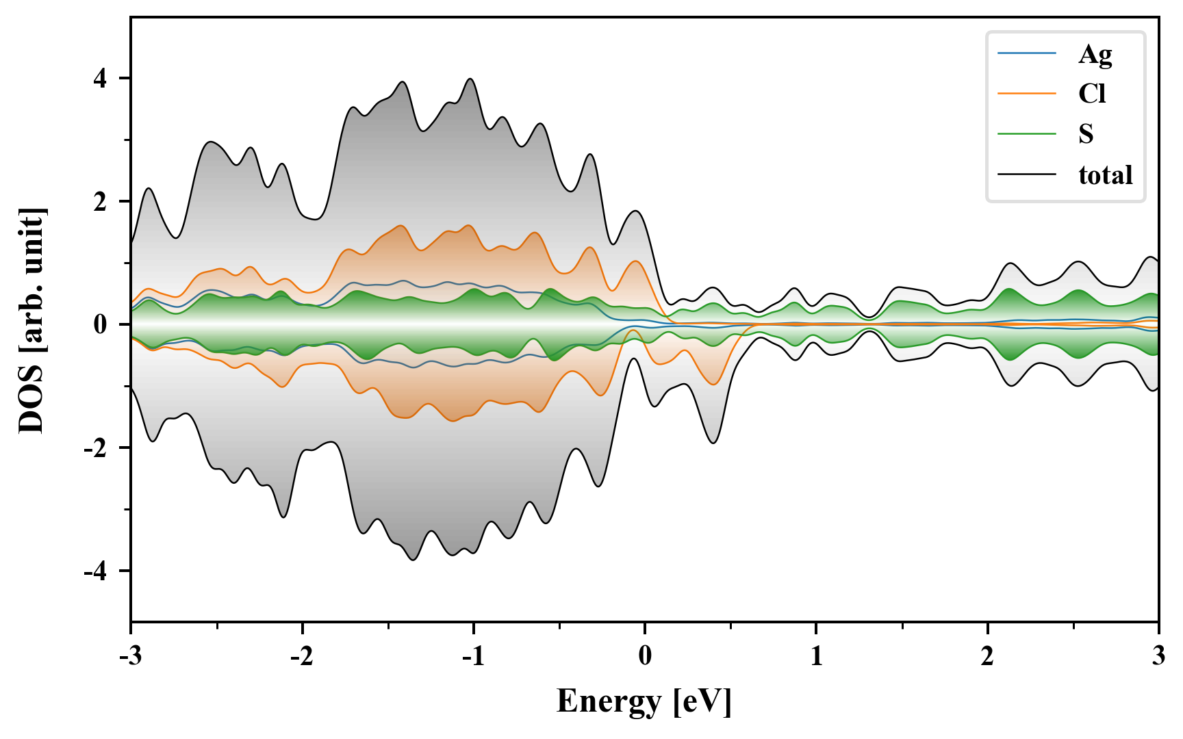
| Band gap (PBE) (eV) |
0.00 |
| Free energy (eV) |
-13.790 |
| Free energy / atom (eV) |
-2.298 |
Lattice Parameters (basic)
| a, b, c (Å): | 3.692 | 4.784 | 30.000 |
| α, β, γ (°): | 90.000 | 90.000 | 90.000 |
Lattice Parameters (computed)
| a, b, c (Å): | 3.847 | 3.133 | 30.000 |
| α, β, γ (°): | 90.000 | 90.000 | 90.000 |
| Property |
Value |
| Band gap |
0.00 eV |
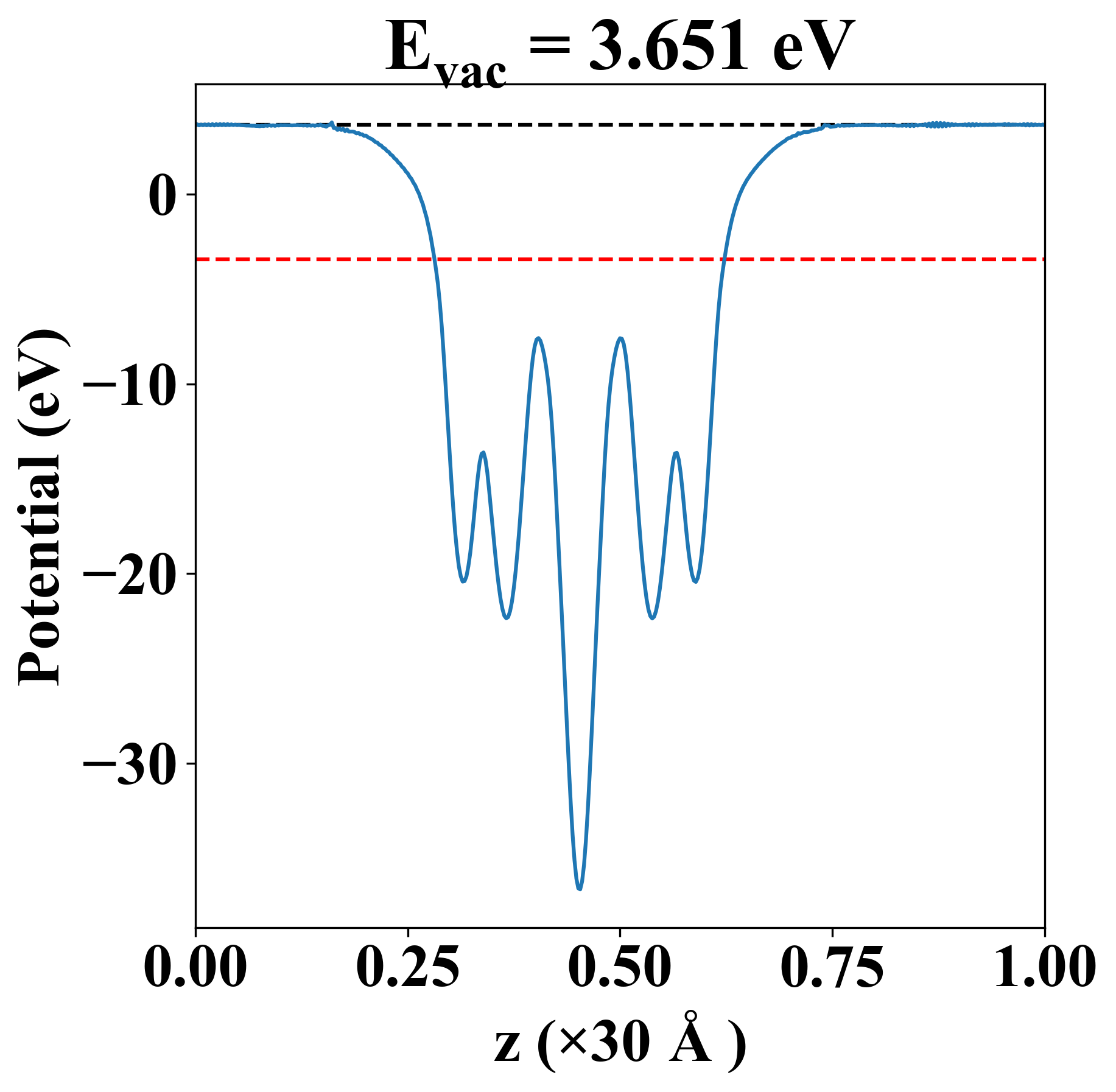
| E-fermi |
-3.431 eV |
| Vacuum level |
3.651 eV |
| VBM |
-3.432 eV |
| CBM |
-3.429 eV |
| Work function |
7.081 eV |
| Direct gap |
No |
| Property |
Value |
| Band gap |
0.00 eV |
| E-fermi |
-3.431 eV |
| Vacuum level |
3.651 eV |
| VBM |
-3.432 eV |
| CBM |
-3.429 eV |
| Work function |
7.081 eV |
| Cij (N/m) |
xx |
yy |
xy |
| xx |
47.605 |
5.843 |
0.000 |
| yy |
5.843 |
34.665 |
0.000 |
| xy |
0.000 |
0.000 |
7.563 |
| Phonon mode at Γ point (THz) |
| Property |
Value |
| from where |
c2db-7 |