Ag2Cl2O2
MatHub2d-1104-Ag2Cl2O2
| Property |
Value |
| Space group |
(59, 'Pmmn') |
| Crystal system |
rectangular |
| Magnetic |
Yes |
| Band gap (PBE) (eV) |
0.00 |
| Free energy (eV) |
-14.719 |
| Free energy / atom (eV) |
-2.453 |
Lattice Parameters (basic)
| a, b, c (Å): | 3.554 | 4.104 | 30.000 |
| α, β, γ (°): | 90.000 | 90.000 | 90.000 |
Lattice Parameters (computed)
| a, b, c (Å): | 3.364 | 4.504 | 30.000 |
| α, β, γ (°): | 90.000 | 90.000 | 90.000 |
| Property |
Value |
| Band gap |
0.00 eV |
| E-fermi |
-5.031 eV |
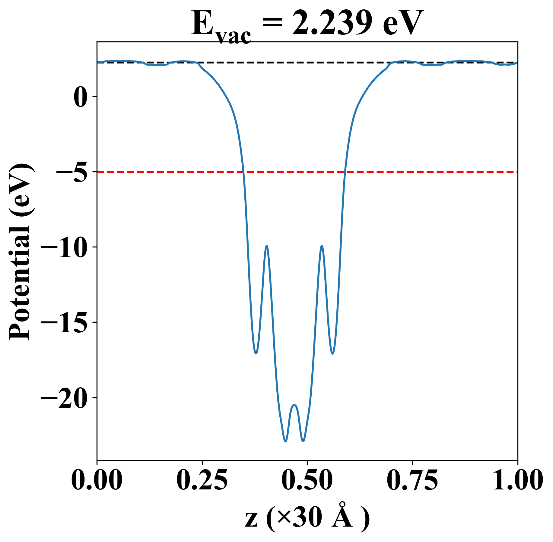
| Vacuum level |
2.239 eV |
| VBM |
-5.033 eV |
| CBM |
-5.026 eV |
| Work function |
7.269 eV |
| Direct gap |
No |
| Property |
Value |
| Band gap |
0.00 eV |
| E-fermi |
-5.031 eV |
| Vacuum level |
2.239 eV |
| VBM |
-5.033 eV |
| CBM |
-5.026 eV |
| Work function |
7.269 eV |
| Cij (N/m) |
xx |
yy |
xy |
| xx |
84.677 |
5.122 |
0.000 |
| yy |
5.122 |
198.633 |
0.000 |
| xy |
0.000 |
0.000 |
27.071 |
| Phonon mode at Γ point (THz) |
| Property |
Value |
| from where |
c2db-6 |