Ag2Br2Se2
MatHub2d-1102-Ag2Br2Se2
| Property |
Value |
| Space group |
(59, 'Pmmn') |
| Crystal system |
rectangular |
| Magnetic |
No |
| Band gap (PBE) (eV) |
0.00 |
| Free energy (eV) |
-12.772 |
| Free energy / atom (eV) |
-2.129 |
Lattice Parameters (basic)
| a, b, c (Å): | 3.751 | 4.292 | 30.000 |
| α, β, γ (°): | 90.000 | 90.000 | 90.000 |
Lattice Parameters (computed)
| a, b, c (Å): | 4.190 | 3.391 | 30.000 |
| α, β, γ (°): | 90.000 | 90.000 | 90.000 |
| Property |
Value |
| Band gap |
0.00 eV |
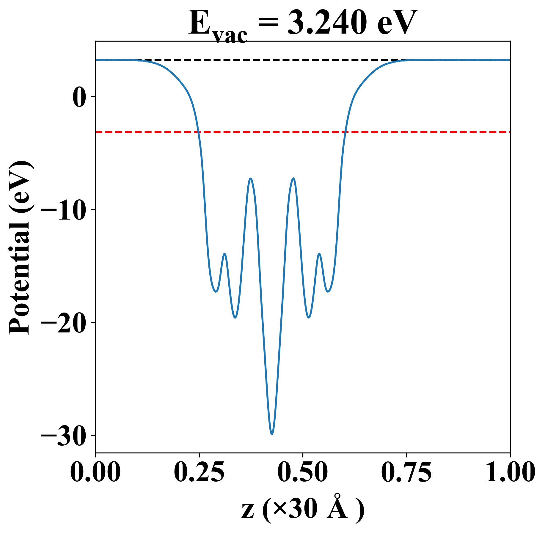
| E-fermi |
-3.151 eV |
| Vacuum level |
3.240 eV |
| VBM |
-3.151 eV |
| CBM |
-3.150 eV |
| Work function |
6.390 eV |
| Direct gap |
No |
| Property |
Value |
| Band gap |
0.00 eV |
| E-fermi |
-3.151 eV |
| Vacuum level |
3.240 eV |
| VBM |
-3.151 eV |
| CBM |
-3.150 eV |
| Work function |
6.390 eV |
| Cij (N/m) |
xx |
yy |
xy |
| xx |
55.904 |
17.375 |
0.000 |
| yy |
17.375 |
38.388 |
0.000 |
| xy |
0.000 |
0.000 |
9.236 |
| Phonon mode at Γ point (THz) |
| -2.001 |
| -1.782 |
| -1.475 |
| -0.628 |
| -0.261 |
| -0.003 |
| -0.002 |
| 0.053 |
| 0.413 |
| 0.850 |
| 0.970 |
| 1.426 |
| 2.709 |
| 3.516 |
| 3.523 |
| 3.670 |
| 4.302 |
| 4.309 |
| Property |
Value |
| from where |
c2db-4 |