Ag2Br2S2
MatHub2d-1101-Ag2Br2S2
| Property |
Value |
| Space group |
(59, 'Pmmn') |
| Crystal system |
rectangular |
| Magnetic |
|
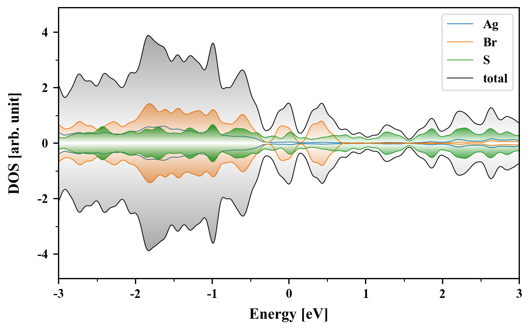
| Band gap (PBE) (eV) |
0.00 |
| Free energy (eV) |
-13.232 |
| Free energy / atom (eV) |
-2.205 |
Lattice Parameters (basic)
| a, b, c (Å): | 3.768 | 4.973 | 30.000 |
| α, β, γ (°): | 90.000 | 90.000 | 90.000 |
Lattice Parameters (computed)
| a, b, c (Å): | 3.913 | 3.168 | 30.000 |
| α, β, γ (°): | 90.000 | 90.000 | 90.000 |
| Property |
Value |
| Band gap |
0.00 eV |
| E-fermi |
-2.322 eV |
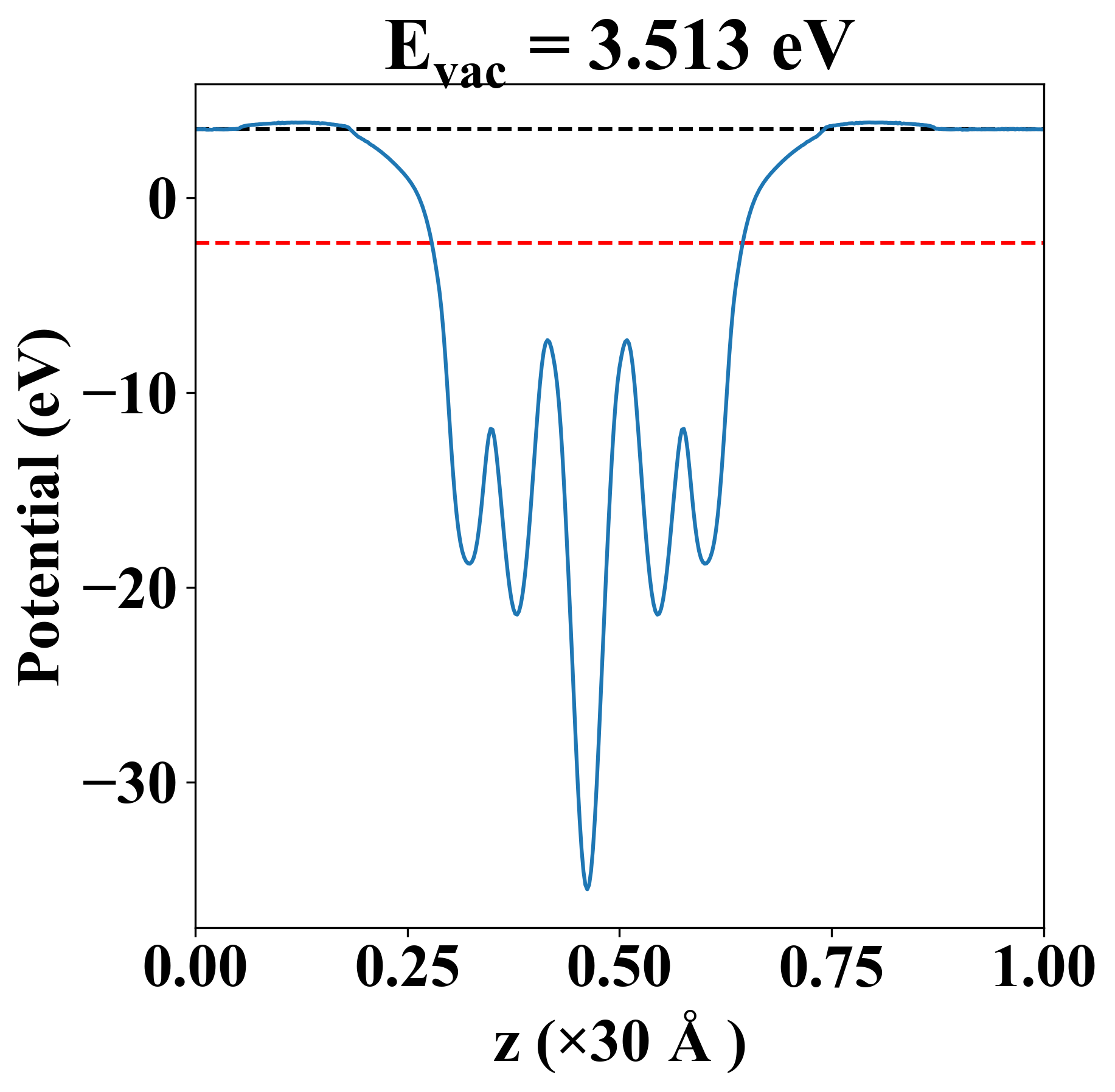
| Vacuum level |
3.513 eV |
| VBM |
-2.323 eV |
| CBM |
-2.322 eV |
| Work function |
5.835 eV |
| Direct gap |
No |
| Property |
Value |
| Band gap |
0.00 eV |
| E-fermi |
-2.322 eV |
| Vacuum level |
3.513 eV |
| VBM |
-2.323 eV |
| CBM |
-2.322 eV |
| Work function |
5.835 eV |
| Cij (N/m) |
xx |
yy |
xy |
| xx |
44.241 |
10.566 |
0.000 |
| yy |
10.566 |
62.509 |
0.000 |
| xy |
0.000 |
0.000 |
0.887 |
| Phonon mode at Γ point (THz) |
| Property |
Value |
| from where |
c2db-3 |