Ag2Br2O2
MatHub2d-1100-Ag2Br2O2
| Property |
Value |
| Space group |
(59, 'Pmmn') |
| Crystal system |
rectangular |
| Magnetic |
|
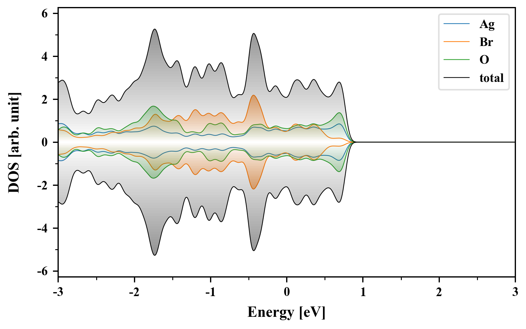
| Band gap (PBE) (eV) |
0.00 |
| Free energy (eV) |
-14.008 |
| Free energy / atom (eV) |
-2.335 |
Lattice Parameters (basic)
| a, b, c (Å): | 3.589 | 4.139 | 30.000 |
| α, β, γ (°): | 90.000 | 90.000 | 90.000 |
Lattice Parameters (computed)
| a, b, c (Å): | 3.499 | 4.098 | 30.000 |
| α, β, γ (°): | 90.000 | 90.000 | 90.000 |
| Property |
Value |
| Band gap |
0.00 eV |
| E-fermi |
-4.315 eV |
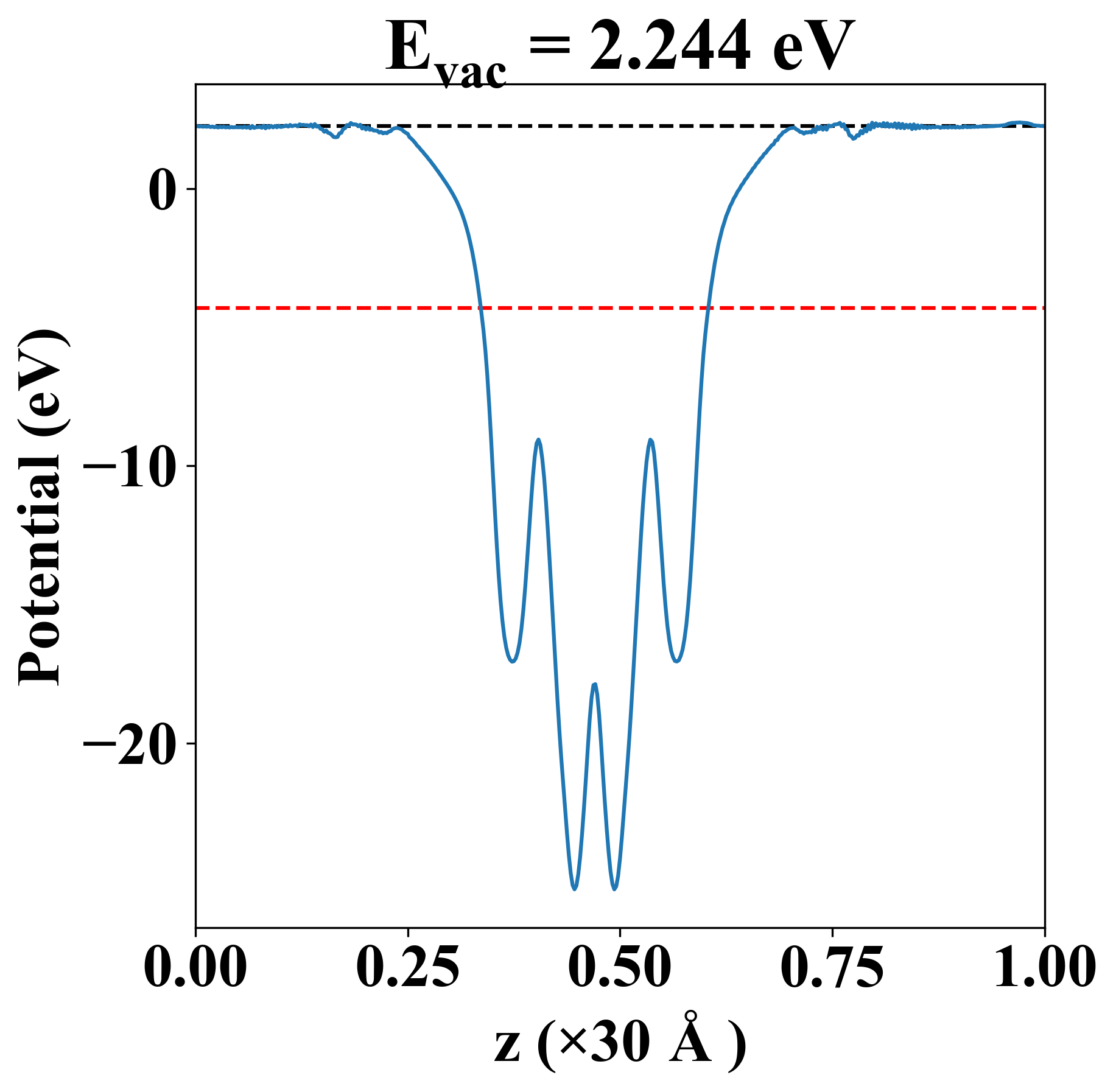
| Vacuum level |
2.244 eV |
| VBM |
-4.316 eV |
| CBM |
-4.313 eV |
| Work function |
6.559 eV |
| Direct gap |
No |
| Property |
Value |
| Band gap |
0.00 eV |
| E-fermi |
-4.315 eV |
| Vacuum level |
2.244 eV |
| VBM |
-4.316 eV |
| CBM |
-4.313 eV |
| Work function |
6.559 eV |
| Cij (N/m) |
xx |
yy |
xy |
| xx |
-0.794 |
0.701 |
-0.000 |
| yy |
0.701 |
75.411 |
0.000 |
| xy |
-0.000 |
0.000 |
-0.692 |
| Phonon mode at Γ point (THz) |
| Property |
Value |
| from where |
c2db-2 |