Ag2Bi2O4
MatHub2d-1098-Ag2Bi2O4
| Property |
Value |
| Space group |
(11, 'P2_1/m') |
| Crystal system |
rectangular |
| Magnetic |
No |
| Band gap (PBE) (eV) |
2.29 |
| Free energy (eV) |
-35.886 |
| Free energy / atom (eV) |
-4.486 |
Lattice Parameters (basic)
| a, b, c (Å): | 6.700 | 3.522 | 30.000 |
| α, β, γ (°): | 90.000 | 90.000 | 90.000 |
Lattice Parameters (computed)
| a, b, c (Å): | 6.864 | 3.546 | 30.000 |
| α, β, γ (°): | 90.000 | 90.000 | 90.000 |
| Property |
Value |
| Band gap |
2.29 eV |
| E-fermi |
-3.038 eV |
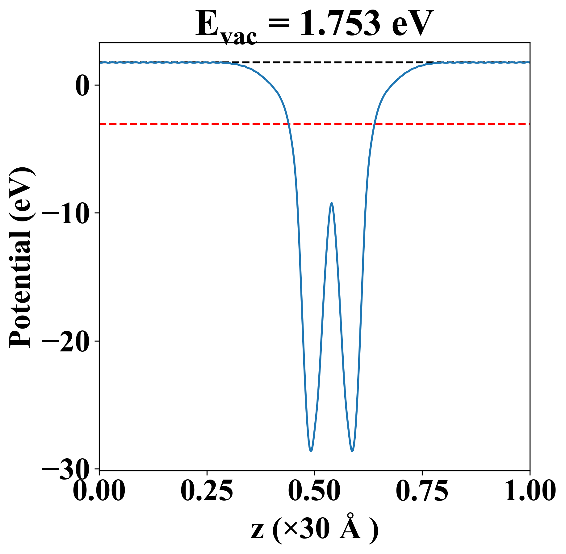
| Vacuum level |
1.753 eV |
| VBM |
-3.254 eV |
| CBM |
-0.965 eV |
| Work function |
4.792 eV |
| Direct gap |
No |
| Property |
Value |
| Band gap |
2.14 eV |
| E-fermi |
-3.082 eV |
| VBM |
-3.297 eV |
| CBM |
-1.155 eV |
| Free energy (eV) |
-36.968 |
| Free energy / atom (eV) |
-4.621 |
| Property |
Value |
| Band gap |
2.29 eV |
| E-fermi |
-3.038 eV |
| Vacuum level |
1.753 eV |
| VBM |
-3.254 eV |
| CBM |
-0.965 eV |
| Work function |
4.792 eV |
| Cij (N/m) |
xx |
yy |
xy |
| xx |
42.270 |
8.761 |
0.000 |
| yy |
8.761 |
55.545 |
0.000 |
| xy |
0.000 |
0.000 |
7.431 |
| Phonon mode at Γ point (THz) |
| -0.017 |
| -0.014 |
| -0.005 |
| 1.411 |
| 1.742 |
| 1.843 |
| 2.136 |
| 2.350 |
| 2.769 |
| 3.664 |
| 3.777 |
| 5.411 |
| 5.816 |
| 7.040 |
| 7.603 |
| 8.205 |
| 10.257 |
| 10.392 |
| 11.420 |
| 12.618 |
| 14.104 |
| 15.608 |
| 16.339 |
| 16.795 |
| Property |
Value |
| from where |
JVASP-28280 |