Te2Zr2
MatHub2d-1097-Te2Zr2
| Property |
Value |
| Space group |
(187, 'P-6m2') |
| Crystal system |
hexagonal |
| Magnetic |
No |
| Band gap (PBE) (eV) |
0.49 |
| Free energy (eV) |
-24.478 |
| Free energy / atom (eV) |
-6.119 |
Lattice Parameters (basic)
| a, b, c (Å): | 3.749 | 3.749 | 30.000 |
| α, β, γ (°): | 90.000 | 90.000 | 120.000 |
Lattice Parameters (computed)
| a, b, c (Å): | 3.777 | 3.777 | 30.000 |
| α, β, γ (°): | 90.000 | 90.000 | 120.000 |
| Property |
Value |
| Band gap |
0.49 eV |
| E-fermi |
-0.974 eV |
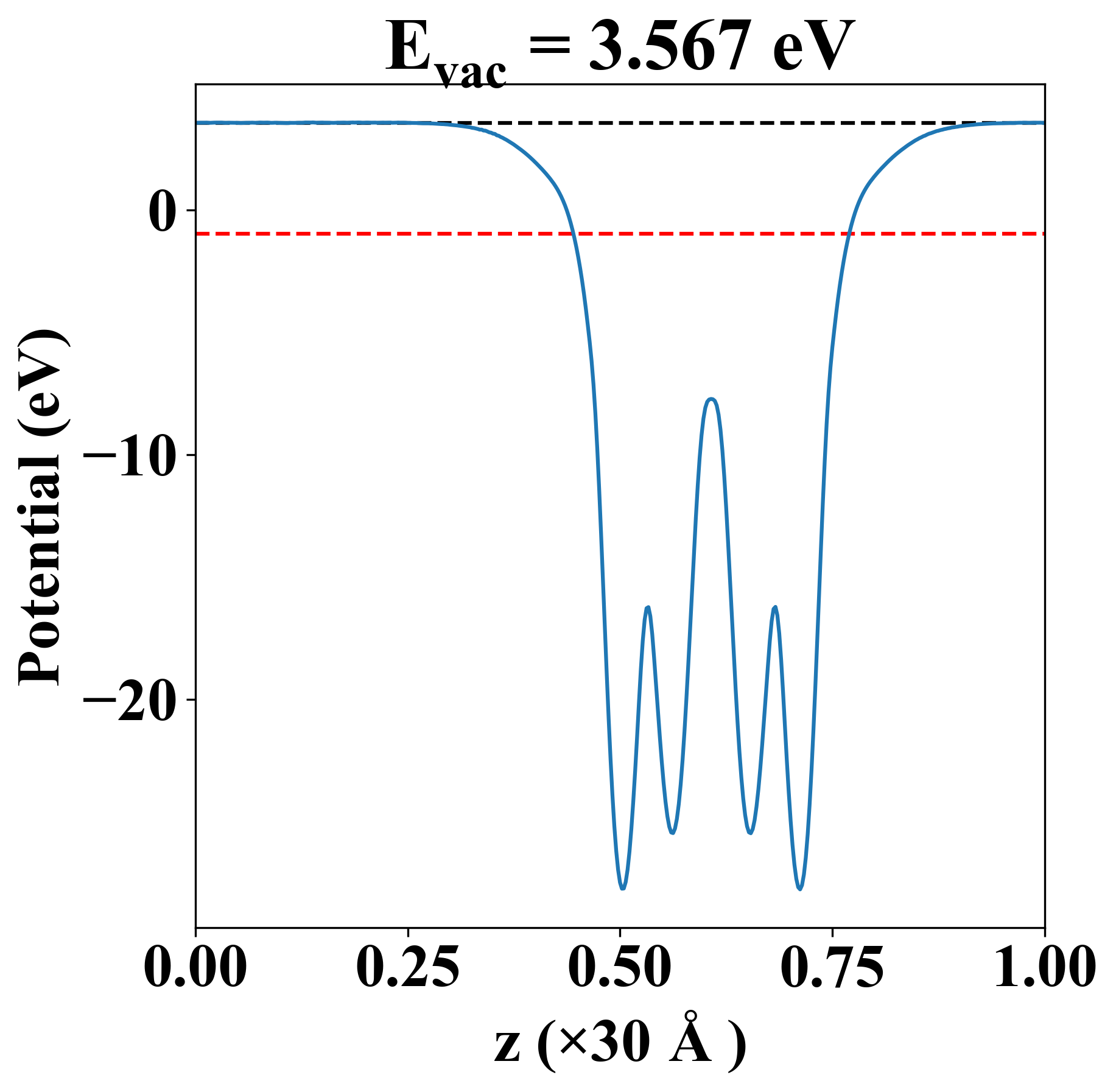
| Vacuum level |
3.567 eV |
| VBM |
-1.257 eV |
| CBM |
-0.762 eV |
| Work function |
4.541 eV |
| Direct gap |
No |
| Property |
Value |
| Band gap |
0.38 eV |
| E-fermi |
-1.004 eV |
| VBM |
-1.201 eV |
| CBM |
-0.820 eV |
| Free energy (eV) |
-24.828 |
| Free energy / atom (eV) |
-6.207 |
| Property |
Value |
| Band gap |
0.49 eV |
| E-fermi |
-0.974 eV |
| Vacuum level |
3.567 eV |
| VBM |
-1.257 eV |
| CBM |
-0.762 eV |
| Work function |
4.541 eV |
| Cij (N/m) |
xx |
yy |
xy |
| xx |
63.984 |
15.661 |
-0.000 |
| yy |
15.661 |
63.984 |
0.000 |
| xy |
-0.000 |
0.000 |
24.162 |
| Phonon mode at Γ point (THz) |
| -0.005 |
| -0.005 |
| 0.001 |
| 0.567 |
| 0.567 |
| 2.584 |
| 4.101 |
| 4.101 |
| 4.747 |
| 4.747 |
| 6.452 |
| 7.439 |
| Carrier type |
C2D (N/m) |
Edef (eV) |
μ (cm2V-1s-1) |
| x |
y |
x |
y |
x |
y |
| hole |
64.82 |
64.75 |
4.00 |
4.09 |
-5.36 |
-5.11 |
| electron |
-3.13 |
-2.37 |
33.87 |
59.26 |
| Property |
Value |
| from where |
c2db-1722 |