Te2Zr1
MatHub2d-1096-Te2Zr1
| Property |
Value |
| Space group |
(187, 'P-6m2') |
| Crystal system |
hexagonal |
| Magnetic |
No |
| Band gap (PBE) (eV) |
0.40 |
| Free energy (eV) |
-17.144 |
| Free energy / atom (eV) |
-5.715 |
Lattice Parameters (basic)
| a, b, c (Å): | 3.923 | 3.923 | 30.000 |
| α, β, γ (°): | 90.000 | 90.000 | 120.000 |
Lattice Parameters (computed)
| a, b, c (Å): | 3.907 | 3.907 | 30.000 |
| α, β, γ (°): | 90.000 | 90.000 | 120.000 |
| Property |
Value |
| Band gap |
0.40 eV |
| E-fermi |
-2.728 eV |
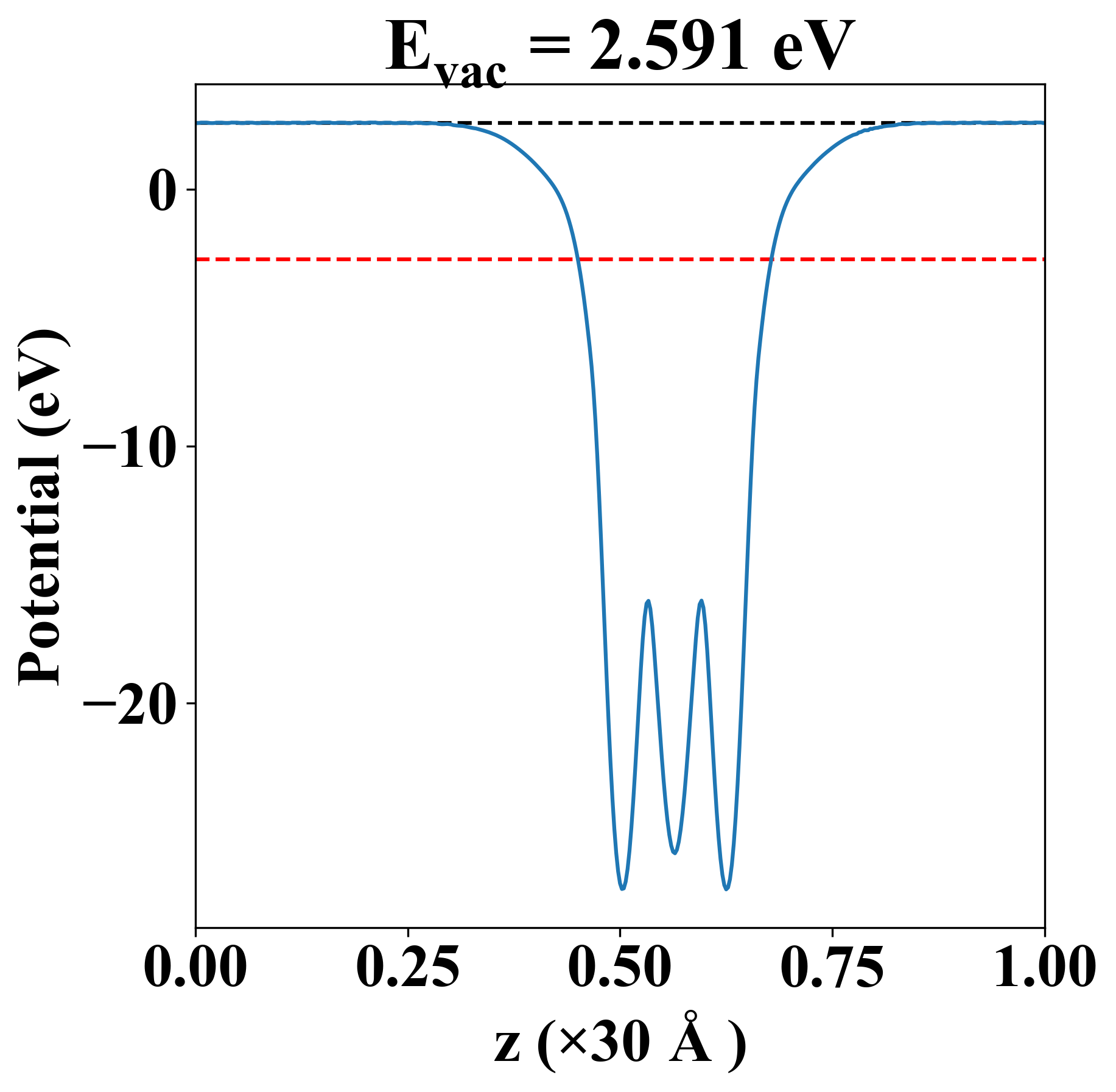
| Vacuum level |
2.591 eV |
| VBM |
-2.929 eV |
| CBM |
-2.532 eV |
| Work function |
5.319 eV |
| Direct gap |
No |
| Property |
Value |
| Band gap |
0.23 eV |
| E-fermi |
-2.626 eV |
| VBM |
-2.739 eV |
| CBM |
-2.510 eV |
| Free energy (eV) |
-17.429 |
| Free energy / atom (eV) |
-5.810 |
| Property |
Value |
| Band gap |
0.40 eV |
| E-fermi |
-2.728 eV |
| Vacuum level |
2.591 eV |
| VBM |
-2.929 eV |
| CBM |
-2.532 eV |
| Work function |
5.319 eV |
| Cij (N/m) |
xx |
yy |
xy |
| xx |
50.759 |
19.436 |
0.000 |
| yy |
19.436 |
50.759 |
0.000 |
| xy |
0.000 |
0.000 |
15.662 |
| Phonon mode at Γ point (THz) |
| -0.001 |
| -0.001 |
| 0.001 |
| 1.715 |
| 1.715 |
| 4.321 |
| 4.321 |
| 4.416 |
| 6.277 |
| Property |
Value |
| from where |
c2db-674 |