Te2Zr1
MatHub2d-1095-Te2Zr1
| Property |
Value |
| Space group |
(164, 'P-3m1') |
| Crystal system |
hexagonal |
| Magnetic |
No |
| Band gap (PBE) (eV) |
0.01 |
| Free energy (eV) |
-17.440 |
| Free energy / atom (eV) |
-5.813 |
Lattice Parameters (basic)
| a, b, c (Å): | 3.984 | 3.984 | 30.000 |
| α, β, γ (°): | 90.000 | 90.000 | 120.000 |
Lattice Parameters (computed)
| a, b, c (Å): | 3.981 | 3.981 | 30.000 |
| α, β, γ (°): | 90.000 | 90.000 | 120.000 |
| Property |
Value |
| Band gap |
0.01 eV |
| E-fermi |
-2.278 eV |
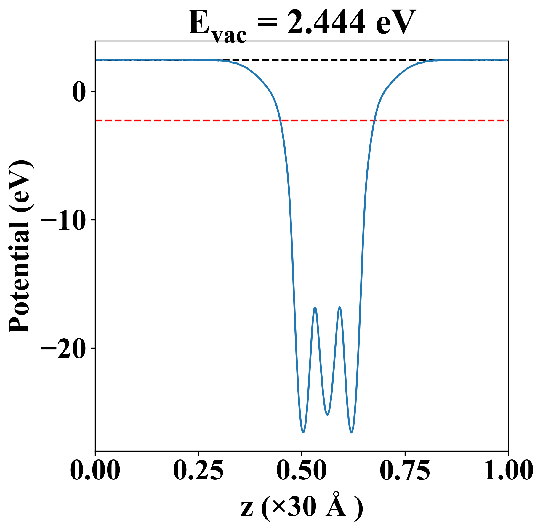
| Vacuum level |
2.444 eV |
| VBM |
-2.281 eV |
| CBM |
-2.274 eV |
| Work function |
4.721 eV |
| Direct gap |
No |
| Property |
Value |
| Band gap |
0.01 eV |
| E-fermi |
-2.278 eV |
| Vacuum level |
2.444 eV |
| VBM |
-2.281 eV |
| CBM |
-2.274 eV |
| Work function |
4.721 eV |
| Cij (N/m) |
xx |
yy |
xy |
| xx |
40.767 |
7.572 |
0.000 |
| yy |
7.572 |
40.767 |
-0.000 |
| xy |
0.000 |
-0.000 |
16.597 |
| Phonon mode at Γ point (THz) |
| -0.002 |
| -0.002 |
| -0.002 |
| 2.859 |
| 2.859 |
| 3.173 |
| 3.173 |
| 3.966 |
| 6.234 |
| Property |
Value |
| from where |
shu-81 |