Te2W2
MatHub2d-1094-Te2W2
| Property |
Value |
| Space group |
(187, 'P-6m2') |
| Crystal system |
hexagonal |
| Magnetic |
No |
| Band gap (PBE) (eV) |
0.00 |
| Free energy (eV) |
-24.206 |
| Free energy / atom (eV) |
-6.052 |
Lattice Parameters (basic)
| a, b, c (Å): | 3.234 | 3.234 | 30.000 |
| α, β, γ (°): | 90.000 | 90.000 | 120.000 |
Lattice Parameters (computed)
| a, b, c (Å): | 3.248 | 3.248 | 30.000 |
| α, β, γ (°): | 90.000 | 90.000 | 120.000 |
| Property |
Value |
| Band gap |
0.00 eV |
| E-fermi |
-0.195 eV |
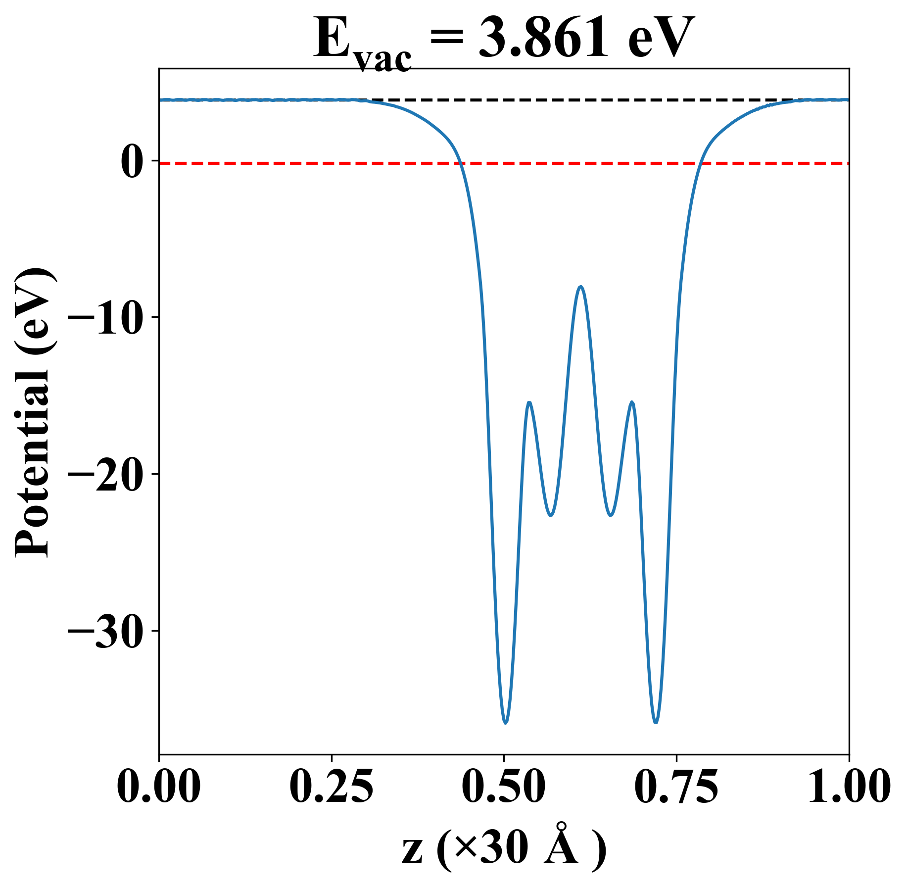
| Vacuum level |
3.861 eV |
| VBM |
-0.196 eV |
| CBM |
-0.194 eV |
| Work function |
4.056 eV |
| Direct gap |
No |
| Property |
Value |
| Band gap |
0.00 eV |
| E-fermi |
-0.195 eV |
| Vacuum level |
3.861 eV |
| VBM |
-0.196 eV |
| CBM |
-0.194 eV |
| Work function |
4.056 eV |
| Cij (N/m) |
xx |
yy |
xy |
| xx |
139.740 |
25.141 |
-0.000 |
| yy |
25.141 |
139.740 |
-0.000 |
| xy |
-0.000 |
-0.000 |
57.300 |
| Phonon mode at Γ point (THz) |
| -1.874 |
| -1.874 |
| -0.002 |
| -0.002 |
| -0.001 |
| 3.421 |
| 4.079 |
| 4.079 |
| 4.229 |
| 4.229 |
| 5.846 |
| 6.703 |
| Property |
Value |
| from where |
c2db-1717 |