Te2W1
MatHub2d-1093-Te2W1
| Property |
Value |
| Space group |
(187, 'P-6m2') |
| Crystal system |
hexagonal |
| Magnetic |
No |
| Band gap (PBE) (eV) |
1.04 |
| Free energy (eV) |
-16.822 |
| Free energy / atom (eV) |
-5.607 |
Lattice Parameters (basic)
| a, b, c (Å): | 3.550 | 3.550 | 30.000 |
| α, β, γ (°): | 90.000 | 90.000 | 120.000 |
Lattice Parameters (computed)
| a, b, c (Å): | 3.562 | 3.562 | 30.000 |
| α, β, γ (°): | 90.000 | 90.000 | 120.000 |
| Property |
Value |
| Band gap |
1.04 eV |
| E-fermi |
-1.734 eV |
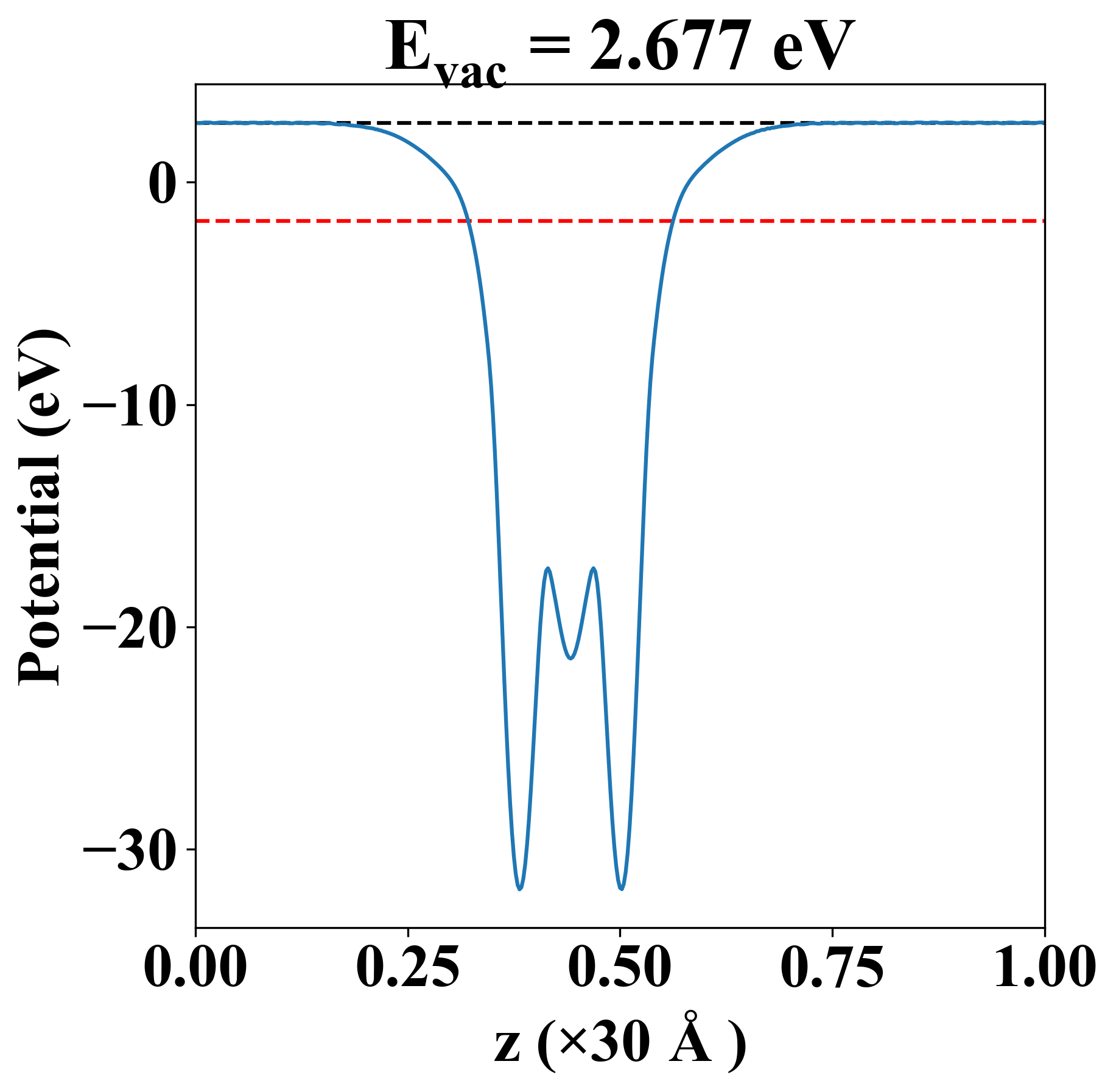
| Vacuum level |
2.677 eV |
| VBM |
-1.955 eV |
| CBM |
-0.920 eV |
| Work function |
4.411 eV |
| Direct gap |
Yes |
| Property |
Value |
| Band gap |
0.62 eV |
| E-fermi |
-1.344 eV |
| VBM |
-1.614 eV |
| CBM |
-0.998 eV |
| Free energy (eV) |
-17.209 |
| Free energy / atom (eV) |
-5.736 |
| Property |
Value |
| Band gap |
1.04 eV |
| E-fermi |
-1.734 eV |
| Vacuum level |
2.677 eV |
| VBM |
-1.955 eV |
| CBM |
-0.920 eV |
| Work function |
4.411 eV |
| Cij (N/m) |
xx |
yy |
xy |
| xx |
87.997 |
15.423 |
-0.000 |
| yy |
15.423 |
87.997 |
-0.000 |
| xy |
-0.000 |
-0.000 |
36.287 |
| Phonon mode at Γ point (THz) |
| -0.002 |
| 0.001 |
| 0.001 |
| 3.517 |
| 3.517 |
| 5.208 |
| 5.702 |
| 5.702 |
| 7.084 |
| Carrier type |
C2D (N/m) |
Edef (eV) |
μ (cm2V-1s-1) |
| x |
y |
x |
y |
x |
y |
| hole |
85.42 |
85.43 |
-1.77 |
-1.86 |
-475.66 |
-429.34 |
| electron |
-7.18 |
-7.27 |
16.74 |
16.32 |
| Property |
Value |
| from where |
c2db-666 |