Te2W1
MatHub2d-1092-Te2W1
| Property |
Value |
| Space group |
(164, 'P-3m1') |
| Crystal system |
hexagonal |
| Magnetic |
No |
| Band gap (PBE) (eV) |
0.00 |
| Free energy (eV) |
-16.274 |
| Free energy / atom (eV) |
-5.425 |
Lattice Parameters (basic)
| a, b, c (Å): | 3.507 | 3.507 | 30.000 |
| α, β, γ (°): | 90.000 | 90.000 | 120.000 |
Lattice Parameters (computed)
| a, b, c (Å): | 3.530 | 3.530 | 30.000 |
| α, β, γ (°): | 90.000 | 90.000 | 120.000 |
| Property |
Value |
| Band gap |
0.00 eV |
| E-fermi |
-1.161 eV |
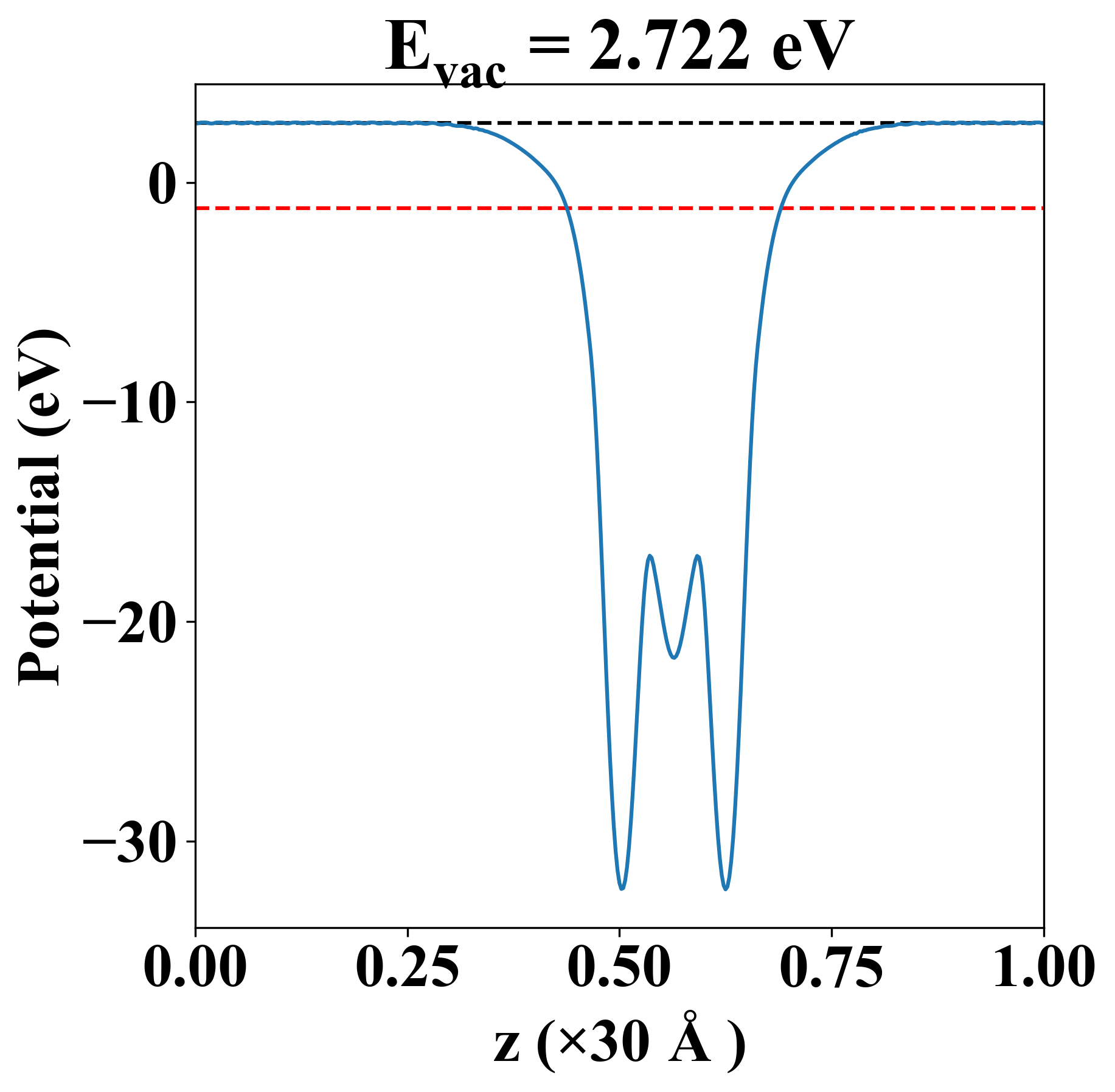
| Vacuum level |
2.722 eV |
| VBM |
-1.161 eV |
| CBM |
-1.157 eV |
| Work function |
3.883 eV |
| Direct gap |
No |
| Property |
Value |
| Band gap |
0.00 eV |
| E-fermi |
-1.161 eV |
| Vacuum level |
2.722 eV |
| VBM |
-1.161 eV |
| CBM |
-1.157 eV |
| Work function |
3.883 eV |
| Cij (N/m) |
xx |
yy |
xy |
| xx |
80.815 |
-6.298 |
-0.000 |
| yy |
-6.298 |
80.815 |
0.000 |
| xy |
-0.000 |
0.000 |
43.557 |
| Phonon mode at Γ point (THz) |
| 0.000 |
| 0.000 |
| 0.001 |
| 3.396 |
| 3.396 |
| 4.208 |
| 4.208 |
| 4.838 |
| 6.189 |
| Property |
Value |
| from where |
c2db-665 |