Te2V2
MatHub2d-1091-Te2V2
| Property |
Value |
| Space group |
(187, 'P-6m2') |
| Crystal system |
hexagonal |
| Magnetic |
No |
| Band gap (PBE) (eV) |
0.60 |
| Free energy (eV) |
-17.990 |
| Free energy / atom (eV) |
-4.497 |
Lattice Parameters (basic)
| a, b, c (Å): | 3.958 | 3.958 | 30.000 |
| α, β, γ (°): | 90.000 | 90.000 | 120.000 |
Lattice Parameters (computed)
| a, b, c (Å): | 4.107 | 4.107 | 30.000 |
| α, β, γ (°): | 90.000 | 90.000 | 120.000 |
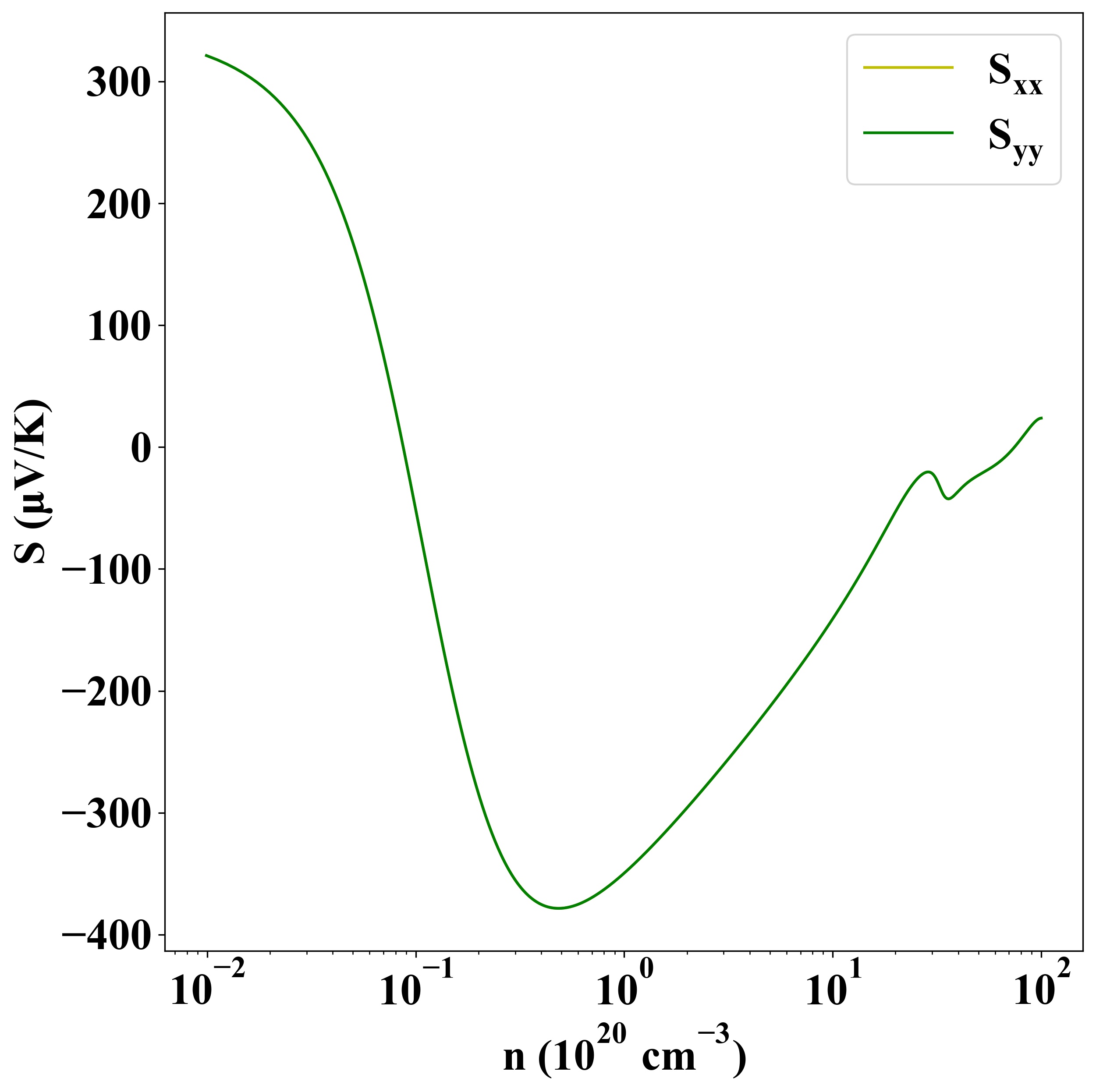
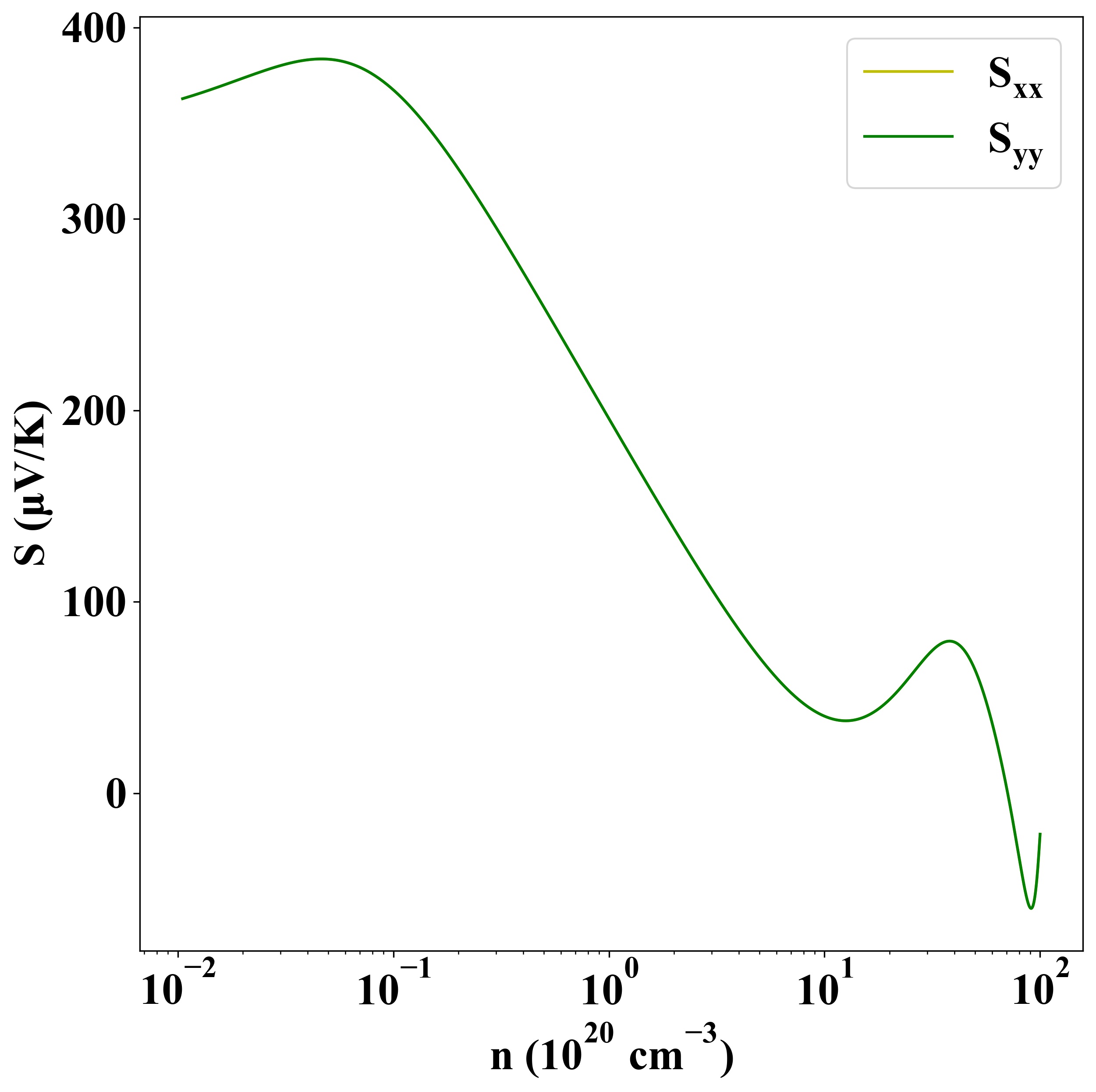
| Property |
Value |
| Band gap |
0.60 eV |
| E-fermi |
-2.335 eV |
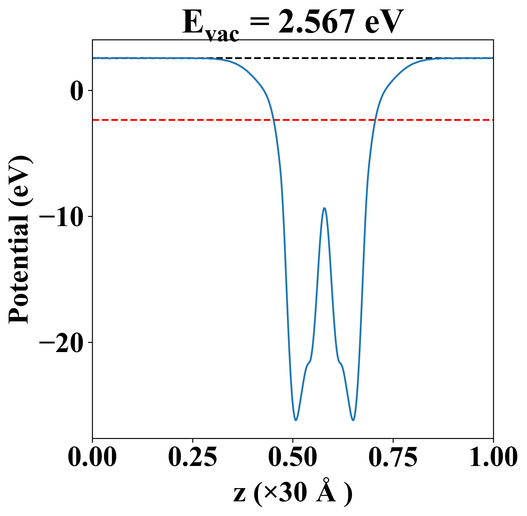
| Vacuum level |
2.567 eV |
| VBM |
-2.694 eV |
| CBM |
-2.095 eV |
| Work function |
4.902 eV |
| Direct gap |
No |
| Property |
Value |
| Band gap |
0.60 eV |
| E-fermi |
-2.335 eV |
| Vacuum level |
2.567 eV |
| VBM |
-2.694 eV |
| CBM |
-2.095 eV |
| Work function |
4.902 eV |
| Cij (N/m) |
xx |
yy |
xy |
| xx |
19.515 |
11.856 |
-0.000 |
| yy |
11.856 |
19.515 |
0.000 |
| xy |
-0.000 |
0.000 |
3.830 |
| Phonon mode at Γ point (THz) |
| -0.007 |
| -0.006 |
| -0.006 |
| 1.335 |
| 1.335 |
| 3.080 |
| 5.918 |
| 5.918 |
| 6.120 |
| 7.813 |
| 7.813 |
| 12.265 |
| Carrier type |
C2D (N/m) |
Edef (eV) |
μ (cm2V-1s-1) |
| x |
y |
x |
y |
x |
y |
| hole |
22.32 |
22.68 |
-4.64 |
-6.58 |
-3.80 |
-1.93 |
| electron |
-4.18 |
-3.51 |
0.31 |
0.45 |
| Property |
Value |
| from where |
c2db-1713 |