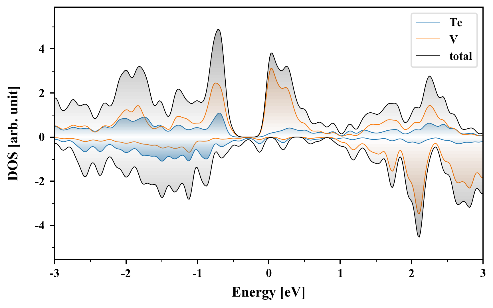
Te2V1
MatHub2d-1090-Te2V1
| Property |
Value |
| Space group |
(164, 'P-3m1') |
| Crystal system |
hexagonal |
| Magnetic |
Yes |
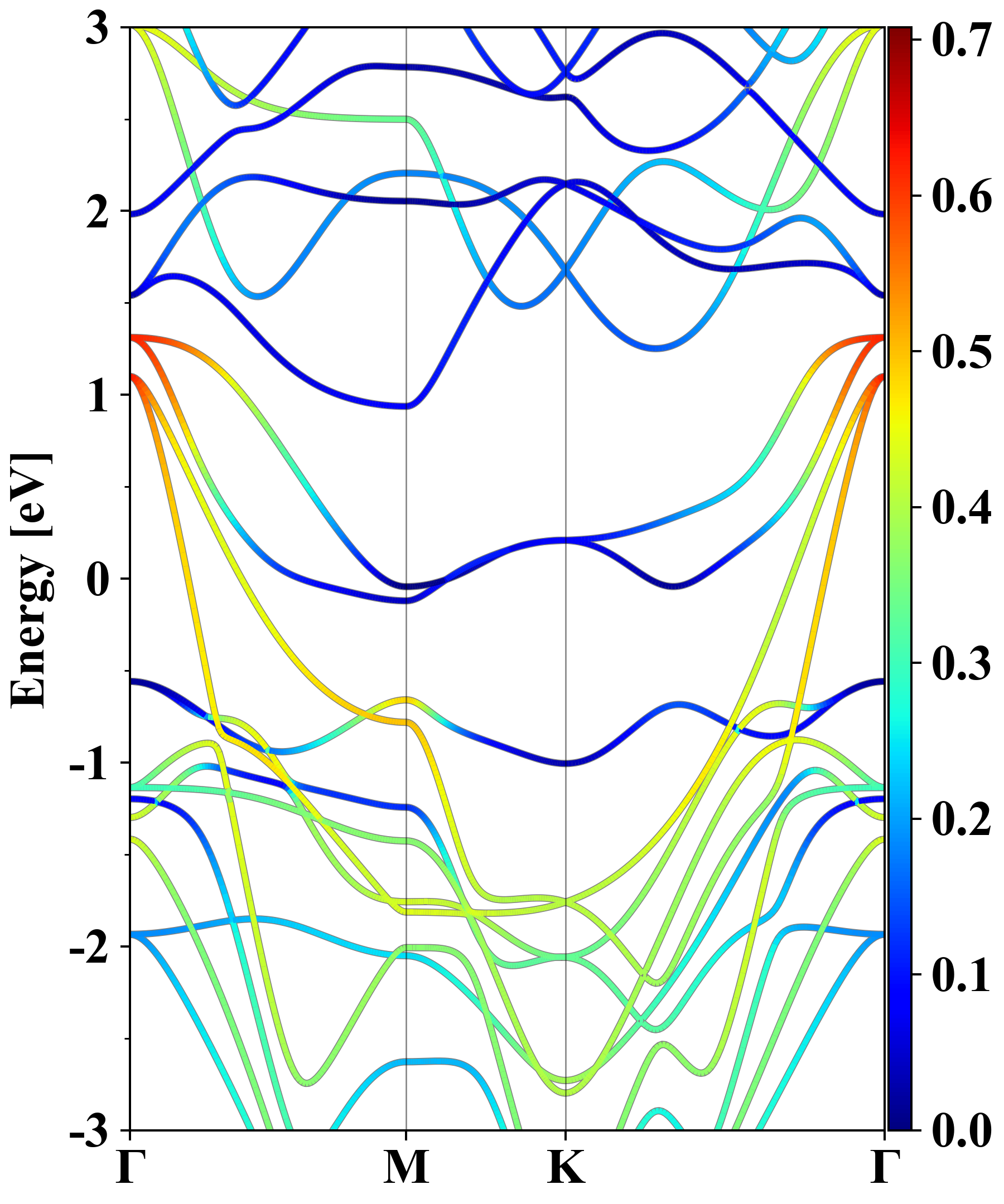
| Band gap (PBE) (eV) |
0.00 |
| Free energy (eV) |
-13.746 |
| Free energy / atom (eV) |
-4.582 |
Lattice Parameters (basic)
| a, b, c (Å): | 3.672 | 3.672 | 30.000 |
| α, β, γ (°): | 90.000 | 90.000 | 120.000 |
Lattice Parameters (computed)
| a, b, c (Å): | 3.731 | 3.731 | 30.000 |
| α, β, γ (°): | 90.000 | 90.000 | 120.000 |
| Property |
Value |
| Band gap |
0.00 eV |
| E-fermi |
-2.395 eV |
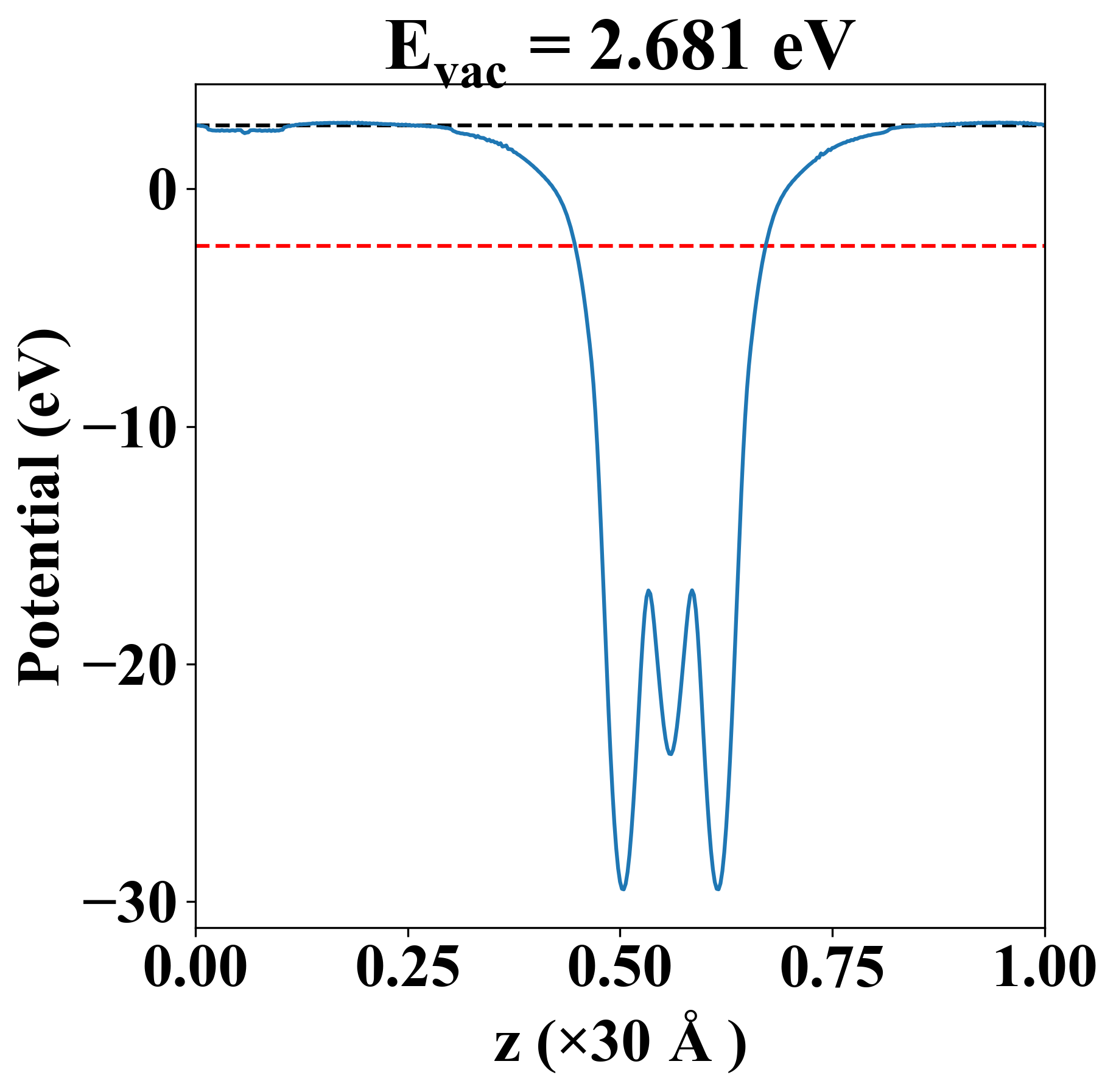
| Vacuum level |
2.681 eV |
| VBM |
-2.396 eV |
| CBM |
-2.394 eV |
| Work function |
5.076 eV |
| Direct gap |
No |
| Property |
Value |
| Band gap |
0.00 eV |
| E-fermi |
-2.395 eV |
| Vacuum level |
2.681 eV |
| VBM |
-2.396 eV |
| CBM |
-2.394 eV |
| Work function |
5.076 eV |
| Cij (N/m) |
xx |
yy |
xy |
| xx |
46.761 |
8.802 |
0.000 |
| yy |
8.802 |
46.761 |
-0.000 |
| xy |
0.000 |
-0.000 |
18.980 |
| Phonon mode at Γ point (THz) |
| -0.015 |
| -0.015 |
| -0.008 |
| 2.780 |
| 2.780 |
| 4.070 |
| 4.708 |
| 4.708 |
| 8.067 |
| Property |
Value |
| from where |
shu-73 |