Te2Tl2
MatHub2d-1089-Te2Tl2
| Property |
Value |
| Space group |
(187, 'P-6m2') |
| Crystal system |
hexagonal |
| Magnetic |
No |
| Band gap (PBE) (eV) |
0.42 |
| Free energy (eV) |
-11.028 |
| Free energy / atom (eV) |
-2.757 |
Lattice Parameters (basic)
| a, b, c (Å): | 4.511 | 4.511 | 30.000 |
| α, β, γ (°): | 90.000 | 90.000 | 120.000 |
Lattice Parameters (computed)
| a, b, c (Å): | 4.538 | 4.538 | 30.000 |
| α, β, γ (°): | 90.000 | 90.000 | 120.000 |
| Property |
Value |
| Band gap |
0.42 eV |
| E-fermi |
-2.584 eV |
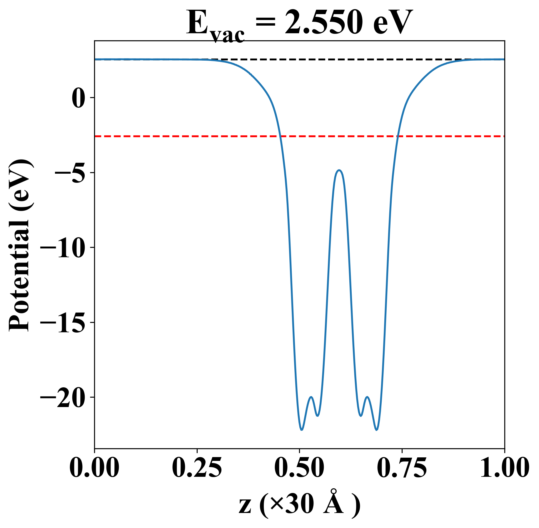
| Vacuum level |
2.550 eV |
| VBM |
-2.797 eV |
| CBM |
-2.376 eV |
| Work function |
5.134 eV |
| Direct gap |
No |
| Property |
Value |
| Band gap |
0.33 eV |
| E-fermi |
-2.482 eV |
| VBM |
-2.647 eV |
| CBM |
-2.320 eV |
| Free energy (eV) |
-11.855 |
| Free energy / atom (eV) |
-2.964 |
| Property |
Value |
| Band gap |
0.42 eV |
| E-fermi |
-2.584 eV |
| Vacuum level |
2.550 eV |
| VBM |
-2.797 eV |
| CBM |
-2.376 eV |
| Work function |
5.134 eV |
| Cij (N/m) |
xx |
yy |
xy |
| xx |
28.170 |
5.937 |
-0.000 |
| yy |
5.937 |
28.170 |
0.000 |
| xy |
-0.000 |
0.000 |
11.116 |
| Phonon mode at Γ point (THz) |
| -0.003 |
| -0.000 |
| -0.000 |
| 0.644 |
| 0.644 |
| 1.955 |
| 3.055 |
| 3.055 |
| 3.177 |
| 3.177 |
| 3.537 |
| 4.100 |
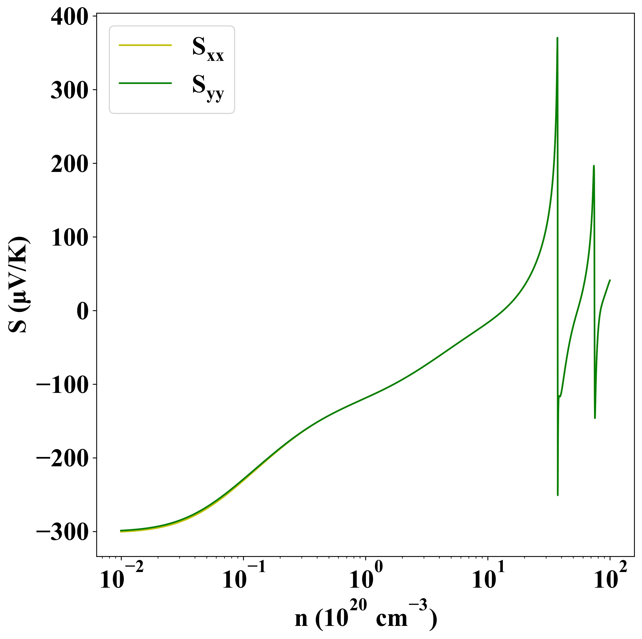
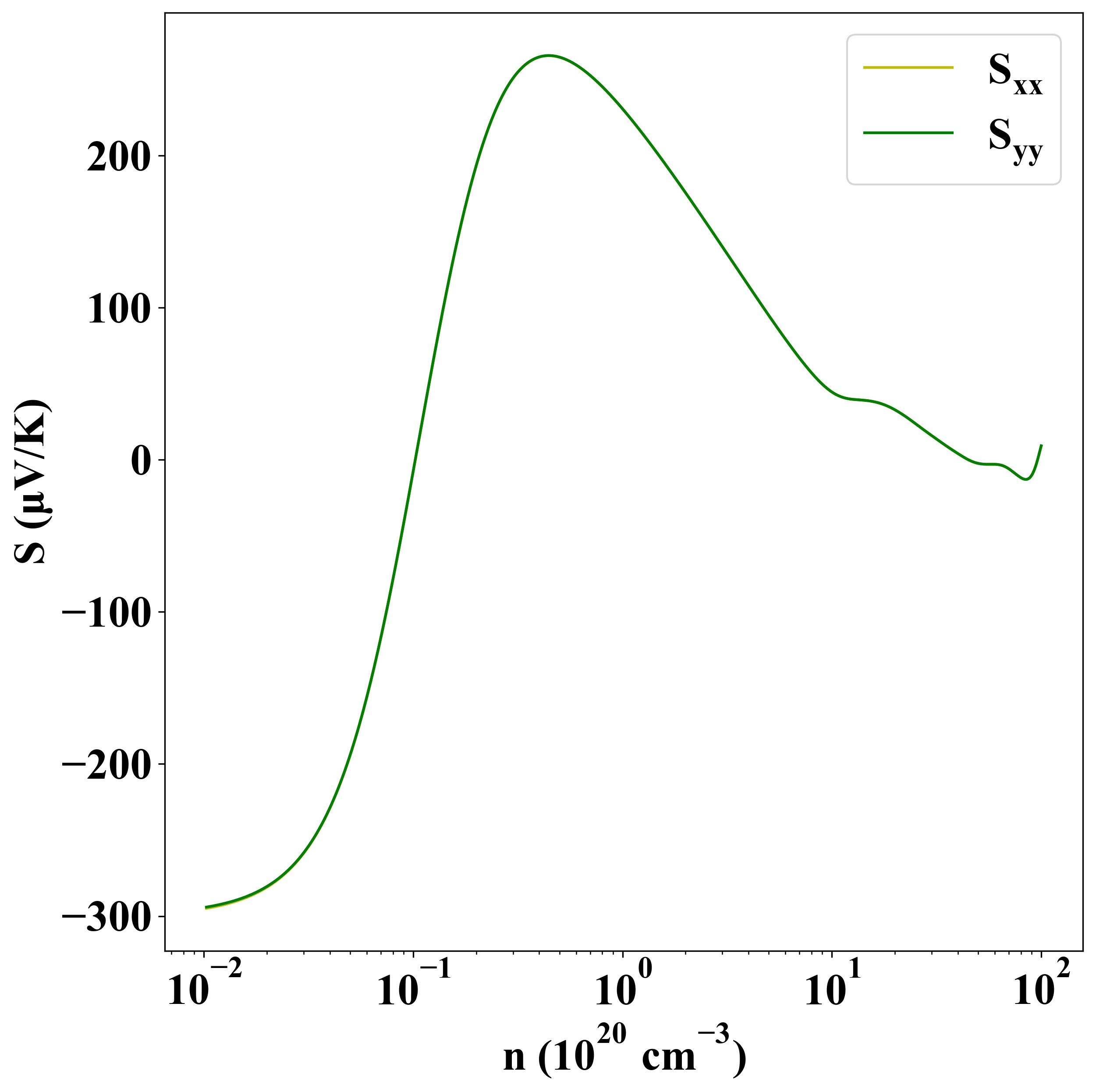
| Carrier type |
C2D (N/m) |
Edef (eV) |
μ (cm2V-1s-1) |
| x |
y |
x |
y |
x |
y |
| hole |
26.73 |
27.46 |
1.58 |
1.31 |
-43.48 |
-65.35 |
| electron |
-4.30 |
-4.39 |
137.22 |
135.28 |
| Property |
Value |
| from where |
c2db-1709 |