Te2Ti2
MatHub2d-1088-Te2Ti2
| Property |
Value |
| Space group |
(187, 'P-6m2') |
| Crystal system |
hexagonal |
| Magnetic |
Yes |
| Band gap (PBE) (eV) |
0.27 |
| Free energy (eV) |
-16.440 |
| Free energy / atom (eV) |
-4.110 |
Lattice Parameters (basic)
| a, b, c (Å): | 3.608 | 3.608 | 30.000 |
| α, β, γ (°): | 90.000 | 90.000 | 120.000 |
Lattice Parameters (computed)
| a, b, c (Å): | 3.828 | 3.828 | 30.000 |
| α, β, γ (°): | 90.000 | 90.000 | 120.000 |
| Property |
Value |
| Band gap |
0.27 eV |
| E-fermi |
-1.688 eV |
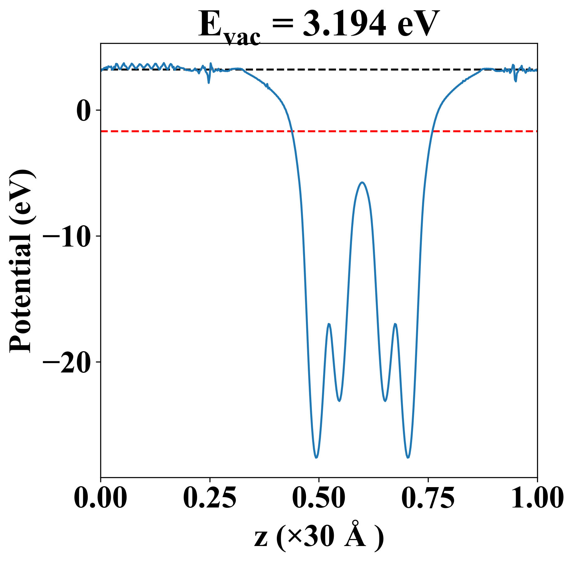
| Vacuum level |
3.194 eV |
| VBM |
-1.824 eV |
| CBM |
-1.551 eV |
| Work function |
4.883 eV |
| Direct gap |
Yes |
| Property |
Value |
| Band gap |
0.23 eV |
| E-fermi |
-1.675 eV |
| VBM |
-1.788 eV |
| CBM |
-1.558 eV |
| Free energy (eV) |
-16.654 |
| Free energy / atom (eV) |
-4.163 |
| Property |
Value |
| Band gap |
0.27 eV |
| E-fermi |
-1.688 eV |
| Vacuum level |
3.194 eV |
| VBM |
-1.824 eV |
| CBM |
-1.551 eV |
| Work function |
4.883 eV |
| Cij (N/m) |
xx |
yy |
xy |
| xx |
-51.749 |
-78.791 |
-0.000 |
| yy |
-78.791 |
-51.749 |
0.000 |
| xy |
-0.000 |
0.000 |
13.521 |
| Phonon mode at Γ point (THz) |
| -0.002 |
| -0.002 |
| -0.002 |
| 0.238 |
| 0.238 |
| 0.265 |
| 4.566 |
| 4.566 |
| 4.826 |
| 4.826 |
| 6.364 |
| 6.491 |
| Property |
Value |
| from where |
c2db-1705 |