Te2Ti1
MatHub2d-1086-Te2Ti1
| Property |
Value |
| Space group |
(164, 'P-3m1') |
| Crystal system |
hexagonal |
| Magnetic |
|
| Band gap (PBE) (eV) |
0.00 |
| Free energy (eV) |
-13.197 |
| Free energy / atom (eV) |
-4.399 |
Lattice Parameters (basic)
| a, b, c (Å): | 3.761 | 3.761 | 30.000 |
| α, β, γ (°): | 90.000 | 90.000 | 120.000 |
Lattice Parameters (computed)
| a, b, c (Å): | 3.872 | 3.872 | 30.000 |
| α, β, γ (°): | 90.000 | 90.000 | 120.000 |
| Property |
Value |
| Band gap |
0.00 eV |
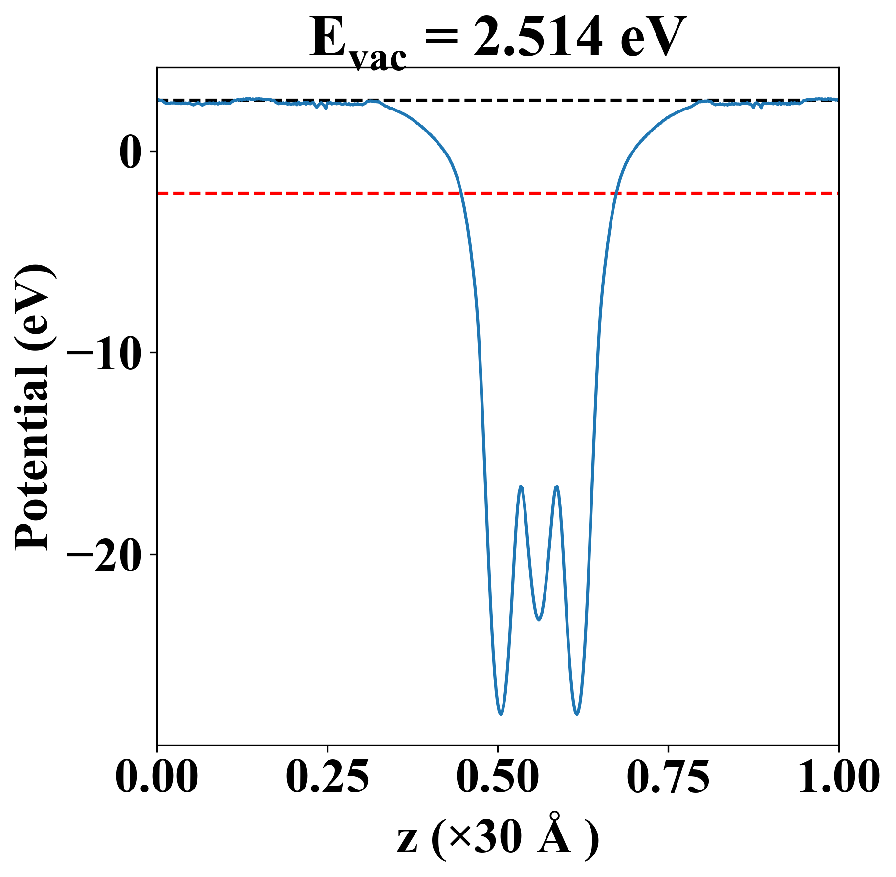
| E-fermi |
-2.090 eV |
| Vacuum level |
2.514 eV |
| VBM |
-2.093 eV |
| CBM |
-2.088 eV |
| Work function |
4.605 eV |
| Direct gap |
No |
| Property |
Value |
| Band gap |
0.00 eV |
| E-fermi |
-2.090 eV |
| Vacuum level |
2.514 eV |
| VBM |
-2.093 eV |
| CBM |
-2.088 eV |
| Work function |
4.605 eV |
| Cij (N/m) |
xx |
yy |
xy |
| xx |
39.817 |
8.941 |
0.000 |
| yy |
8.941 |
39.817 |
0.000 |
| xy |
0.000 |
0.000 |
15.438 |
| Phonon mode at Γ point (THz) |
| -0.005 |
| -0.005 |
| -0.003 |
| 2.685 |
| 2.685 |
| 3.807 |
| 4.157 |
| 4.157 |
| 7.120 |
| Property |
Value |
| from where |
shu-68 |