Te1Zn1
MatHub2d-1085-Te1Zn1
| Property |
Value |
| Space group |
(156, 'P3m1') |
| Crystal system |
hexagonal |
| Magnetic |
No |
| Band gap (PBE) (eV) |
1.87 |
| Free energy (eV) |
-4.087 |
| Free energy / atom (eV) |
-2.043 |
Lattice Parameters (basic)
| a, b, c (Å): | 4.424 | 4.424 | 30.000 |
| α, β, γ (°): | 90.000 | 90.000 | 120.000 |
Lattice Parameters (computed)
| a, b, c (Å): | 4.372 | 4.372 | 30.000 |
| α, β, γ (°): | 90.000 | 90.000 | 120.000 |
| Property |
Value |
| Band gap |
1.87 eV |
| E-fermi |
-4.484 eV |
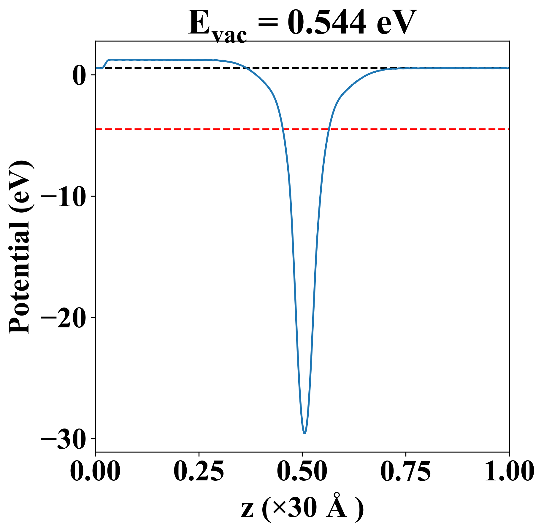
| Vacuum level |
0.544 eV |
| VBM |
-4.738 eV |
| CBM |
-2.871 eV |
| Work function |
5.028 eV |
| Direct gap |
No |
| Property |
Value |
| Band gap |
1.64 eV |
| E-fermi |
-4.244 eV |
| VBM |
-4.488 eV |
| CBM |
-2.846 eV |
| Free energy (eV) |
-4.185 |
| Free energy / atom (eV) |
-2.093 |
| Property |
Value |
| Band gap |
1.87 eV |
| E-fermi |
-4.484 eV |
| Vacuum level |
0.544 eV |
| VBM |
-4.738 eV |
| CBM |
-2.871 eV |
| Work function |
5.028 eV |
| Cij (N/m) |
xx |
yy |
xy |
| xx |
34.200 |
12.770 |
0.000 |
| yy |
12.770 |
34.200 |
-0.000 |
| xy |
0.000 |
-0.000 |
10.715 |
| Phonon mode at Γ point (THz) |
| -0.006 |
| -0.006 |
| -0.003 |
| 1.990 |
| 6.657 |
| 6.657 |
| Property |
Value |
| from where |
shu-78 |