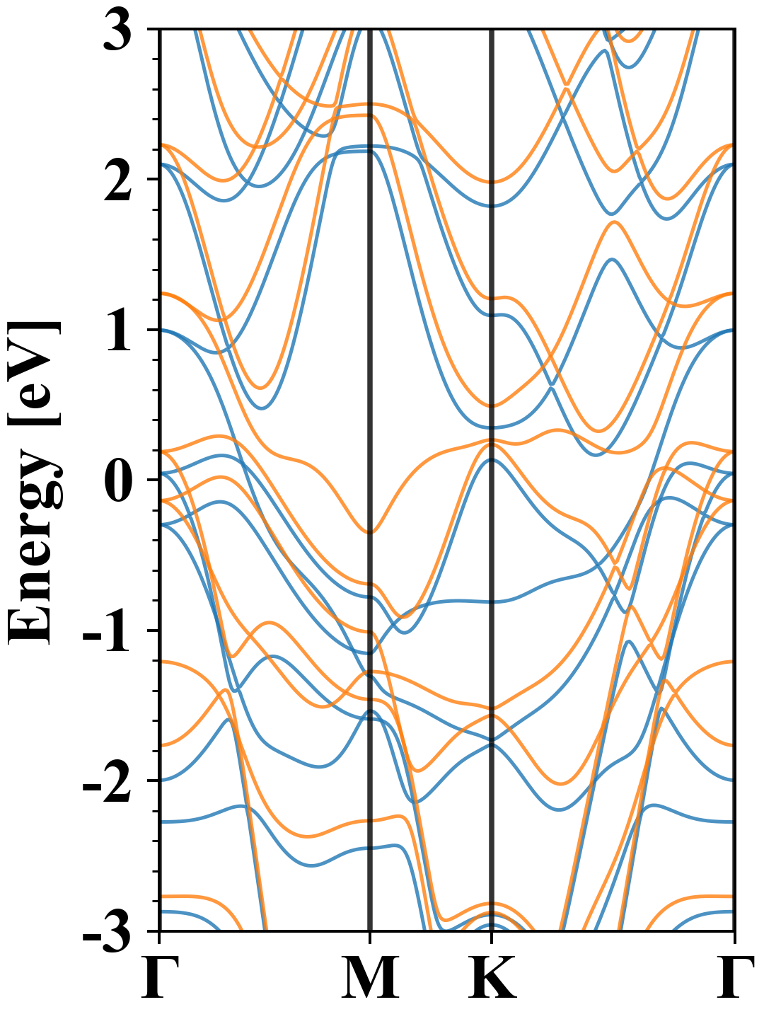
Ta2Te2
MatHub2d-1084-Ta2Te2
| Property |
Value |
| Space group |
(187, 'P-6m2') |
| Crystal system |
hexagonal |
| Magnetic |
Yes |
| Band gap (PBE) (eV) |
0.00 |
| Free energy (eV) |
-24.918 |
| Free energy / atom (eV) |
-6.230 |
Lattice Parameters (basic)
| a, b, c (Å): | 3.263 | 3.263 | 30.000 |
| α, β, γ (°): | 90.000 | 90.000 | 120.000 |
Lattice Parameters (computed)
| a, b, c (Å): | 3.270 | 3.270 | 30.000 |
| α, β, γ (°): | 90.000 | 90.000 | 120.000 |
| Property |
Value |
| Band gap |
0.00 eV |
| E-fermi |
-0.181 eV |
| Vacuum level |
3.990 eV |
| VBM |
-0.182 eV |
| CBM |
-0.181 eV |
| Work function |
4.172 eV |
| Direct gap |
No |
| Property |
Value |
| Band gap |
0.00 eV |
| E-fermi |
-0.181 eV |
| Vacuum level |
3.990 eV |
| VBM |
-0.182 eV |
| CBM |
-0.181 eV |
| Work function |
4.172 eV |
| Cij (N/m) |
xx |
yy |
xy |
| xx |
23.023 |
50.329 |
0.000 |
| yy |
50.329 |
23.023 |
-0.000 |
| xy |
0.000 |
-0.000 |
-13.653 |
| Phonon mode at Γ point (THz) |
| -1.899 |
| -1.899 |
| 0.001 |
| 0.001 |
| 0.001 |
| 2.517 |
| 3.012 |
| 3.012 |
| 3.191 |
| 3.191 |
| 4.258 |
| 4.354 |
| Property |
Value |
| from where |
c2db-1699 |