Ta1Te2
MatHub2d-1083-Ta1Te2
| Property |
Value |
| Space group |
(187, 'P-6m2') |
| Crystal system |
hexagonal |
| Magnetic |
Yes |
| Band gap (PBE) (eV) |
0.00 |
| Free energy (eV) |
-17.319 |
| Free energy / atom (eV) |
-5.773 |
Lattice Parameters (basic)
| a, b, c (Å): | 3.699 | 3.699 | 30.000 |
| α, β, γ (°): | 90.000 | 90.000 | 120.000 |
Lattice Parameters (computed)
| a, b, c (Å): | 3.724 | 3.724 | 30.000 |
| α, β, γ (°): | 90.000 | 90.000 | 120.000 |
| Property |
Value |
| Band gap |
0.00 eV |
| E-fermi |
-2.335 eV |
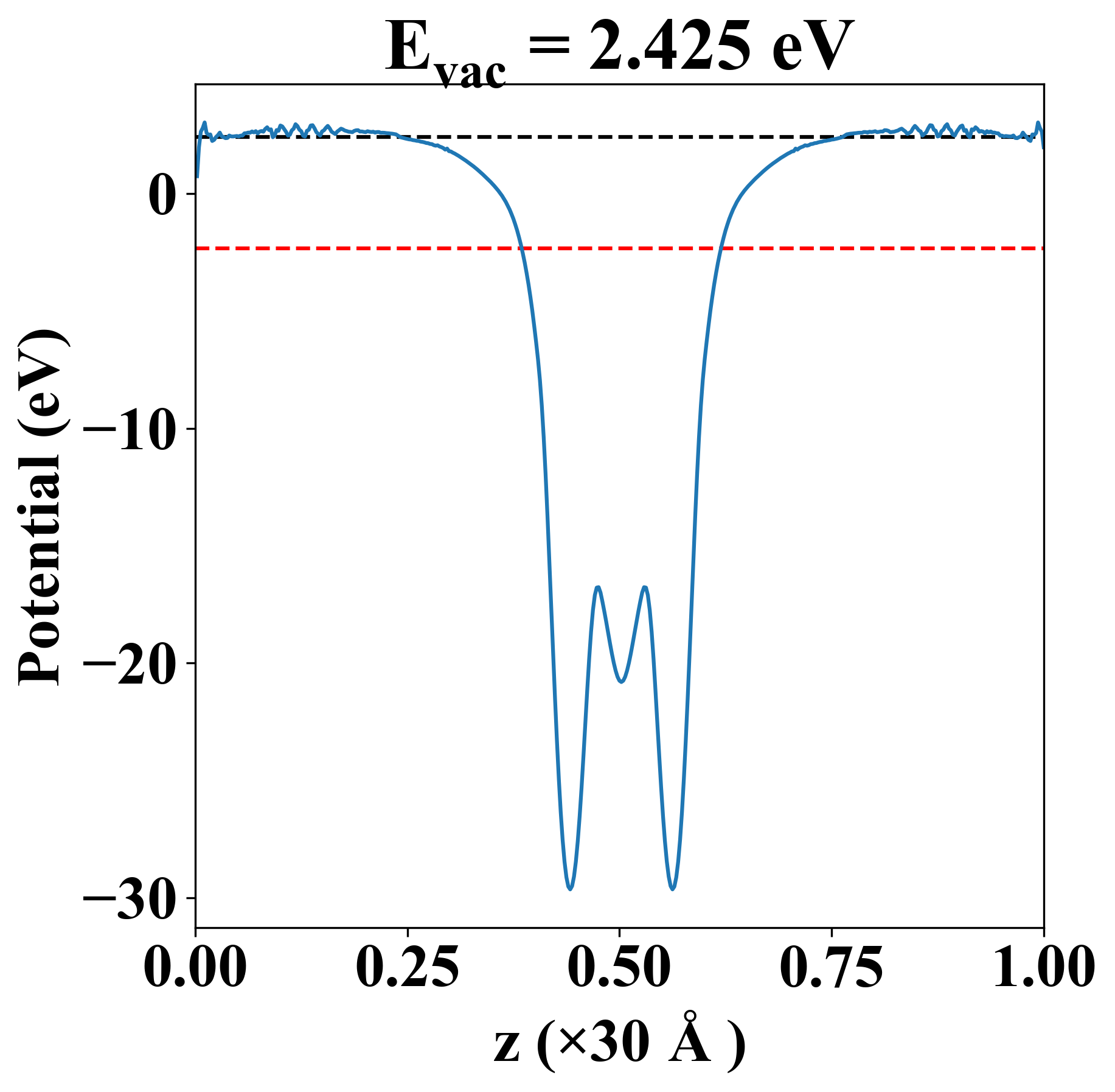
| Vacuum level |
2.425 eV |
| VBM |
-2.337 eV |
| CBM |
-2.333 eV |
| Work function |
4.760 eV |
| Direct gap |
No |
| Property |
Value |
| Band gap |
0.00 eV |
| E-fermi |
-2.335 eV |
| Vacuum level |
2.425 eV |
| VBM |
-2.337 eV |
| CBM |
-2.333 eV |
| Work function |
4.760 eV |
| Cij (N/m) |
xx |
yy |
xy |
| xx |
68.382 |
20.766 |
0.000 |
| yy |
20.766 |
68.382 |
-0.000 |
| xy |
0.000 |
-0.000 |
23.808 |
| Phonon mode at Γ point (THz) |
| -0.002 |
| -0.002 |
| 0.001 |
| 2.702 |
| 2.702 |
| 4.776 |
| 4.833 |
| 4.833 |
| 5.910 |
| Property |
Value |
| from where |
c2db-640 |