Ta1Te2
MatHub2d-1082-Ta1Te2
| Property |
Value |
| Space group |
(164, 'P-3m1') |
| Crystal system |
hexagonal |
| Magnetic |
Yes |
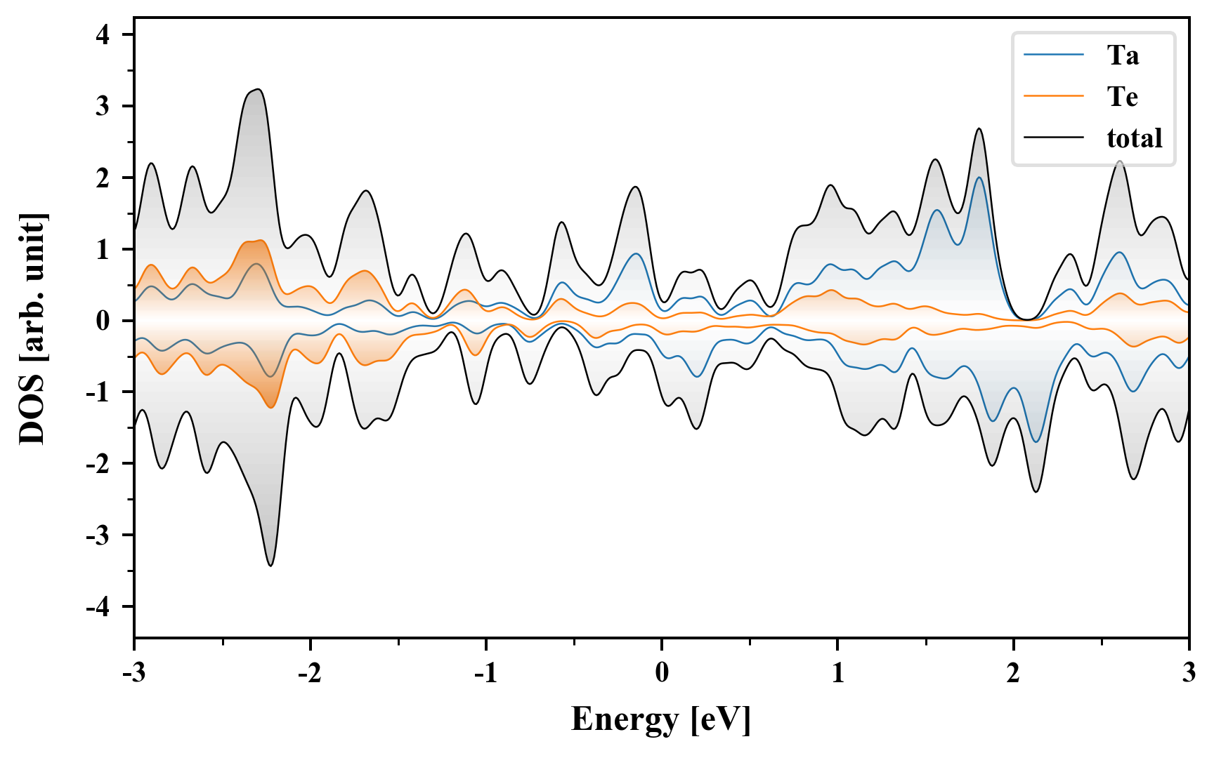
| Band gap (PBE) (eV) |
0.00 |
| Free energy (eV) |
-17.283 |
| Free energy / atom (eV) |
-5.761 |
Lattice Parameters (basic)
| a, b, c (Å): | 3.659 | 3.659 | 30.000 |
| α, β, γ (°): | 90.000 | 90.000 | 120.000 |
Lattice Parameters (computed)
| a, b, c (Å): | 3.735 | 3.735 | 30.000 |
| α, β, γ (°): | 90.000 | 90.000 | 120.000 |
| Property |
Value |
| Band gap |
0.00 eV |
| E-fermi |
-1.703 eV |
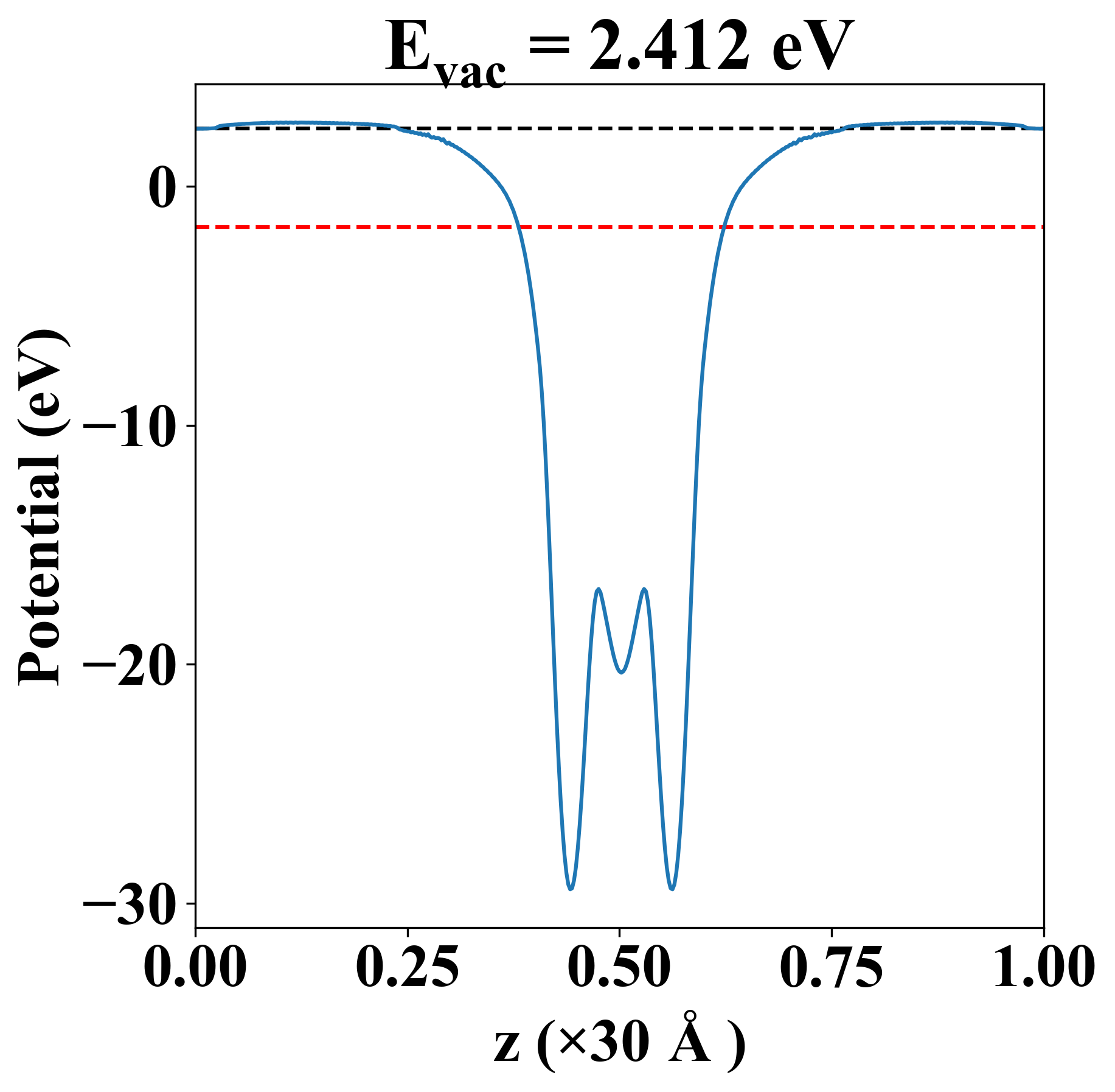
| Vacuum level |
2.412 eV |
| VBM |
-1.703 eV |
| CBM |
-1.702 eV |
| Work function |
4.115 eV |
| Direct gap |
No |
| Property |
Value |
| Band gap |
0.00 eV |
| E-fermi |
-1.703 eV |
| Vacuum level |
2.412 eV |
| VBM |
-1.703 eV |
| CBM |
-1.702 eV |
| Work function |
4.115 eV |
| Cij (N/m) |
xx |
yy |
xy |
| xx |
54.451 |
7.387 |
-0.000 |
| yy |
7.387 |
54.451 |
0.000 |
| xy |
-0.000 |
0.000 |
23.532 |
| Phonon mode at Γ point (THz) |
| -0.004 |
| -0.004 |
| -0.001 |
| 3.119 |
| 3.119 |
| 3.649 |
| 3.649 |
| 4.540 |
| 6.225 |
| Property |
Value |
| from where |
sz.tsinghua-104 |