Sn2Te2
MatHub2d-1081-Sn2Te2
| Property |
Value |
| Space group |
(164, 'P-3m1') |
| Crystal system |
hexagonal |
| Magnetic |
No |
| Band gap (PBE) (eV) |
0.61 |
| Free energy (eV) |
-14.993 |
| Free energy / atom (eV) |
-3.748 |
Lattice Parameters (basic)
| a, b, c (Å): | 4.318 | 4.318 | 30.000 |
| α, β, γ (°): | 90.000 | 90.000 | 120.000 |
Lattice Parameters (computed)
| a, b, c (Å): | 4.300 | 4.300 | 30.000 |
| α, β, γ (°): | 90.000 | 90.000 | 120.000 |
| Property |
Value |
| Band gap |
0.61 eV |
| E-fermi |
-1.311 eV |
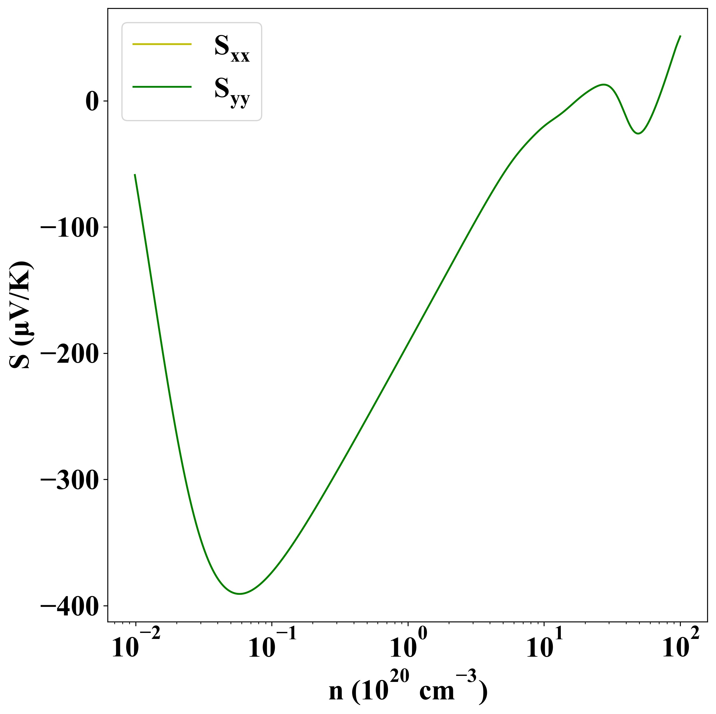
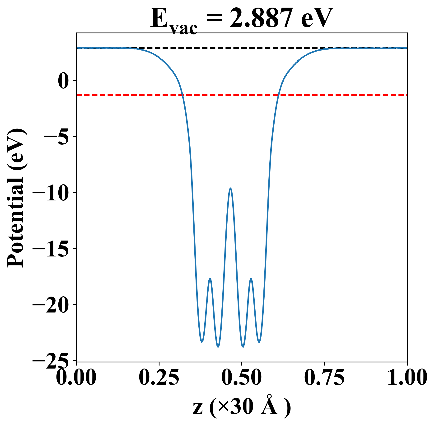
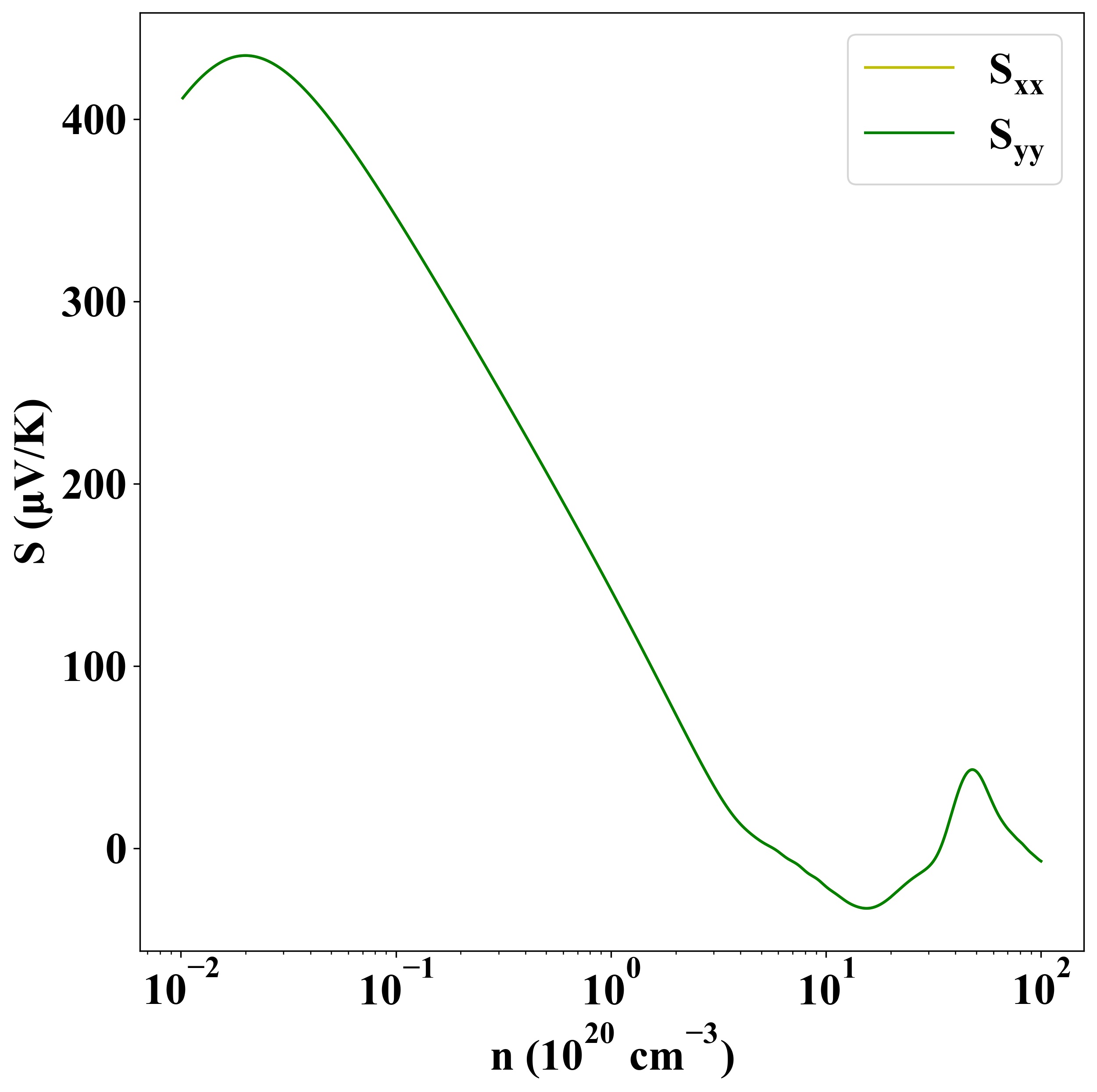
| Vacuum level |
2.887 eV |
| VBM |
-1.598 eV |
| CBM |
-0.991 eV |
| Work function |
4.198 eV |
| Direct gap |
No |
| Property |
Value |
| Band gap |
0.52 eV |
| E-fermi |
-1.279 eV |
| VBM |
-1.584 eV |
| CBM |
-1.062 eV |
| Free energy (eV) |
-15.309 |
| Free energy / atom (eV) |
-3.827 |
| Property |
Value |
| Band gap |
0.61 eV |
| E-fermi |
-1.311 eV |
| Vacuum level |
2.887 eV |
| VBM |
-1.598 eV |
| CBM |
-0.991 eV |
| Work function |
4.198 eV |
| Cij (N/m) |
xx |
yy |
xy |
| xx |
50.846 |
13.856 |
-0.000 |
| yy |
13.856 |
50.846 |
0.000 |
| xy |
-0.000 |
0.000 |
18.495 |
| Phonon mode at Γ point (THz) |
| -0.009 |
| -0.008 |
| -0.008 |
| 1.458 |
| 1.458 |
| 1.660 |
| 3.648 |
| 3.648 |
| 3.690 |
| 3.690 |
| 4.811 |
| 5.144 |
| Carrier type |
C2D (N/m) |
Edef (eV) |
μ (cm2V-1s-1) |
| x |
y |
x |
y |
x |
y |
| hole |
52.62 |
53.17 |
-7.01 |
-5.92 |
-84.32 |
-119.36 |
| electron |
-8.42 |
-8.30 |
27.20 |
28.33 |
| Property |
Value |
| from where |
sz.tsinghua-97 |