Sn2
MatHub2d-1080-Sn2
| Property |
Value |
| Space group |
(164, 'P-3m1') |
| Crystal system |
hexagonal |
| Magnetic |
No |
| Band gap (PBE) (eV) |
0.00 |
| Free energy (eV) |
-6.741 |
| Free energy / atom (eV) |
-3.371 |
Lattice Parameters (basic)
| a, b, c (Å): | 4.671 | 4.671 | 30.000 |
| α, β, γ (°): | 90.000 | 90.000 | 120.000 |
Lattice Parameters (computed)
| a, b, c (Å): | 4.637 | 4.637 | 30.000 |
| α, β, γ (°): | 90.000 | 90.000 | 120.000 |
| Property |
Value |
| Band gap |
0.00 eV |
| E-fermi |
-3.080 eV |
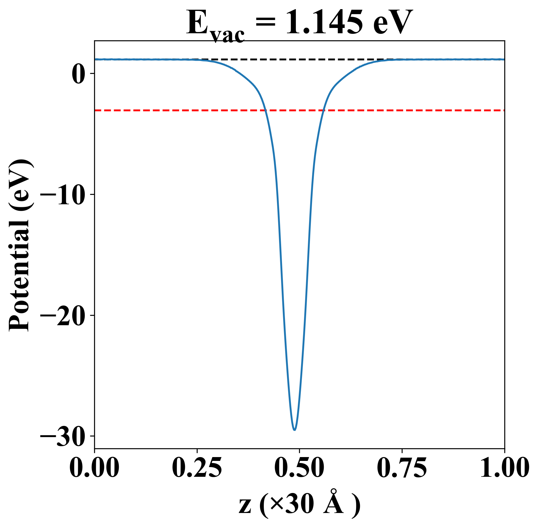
| Vacuum level |
1.145 eV |
| VBM |
-3.080 eV |
| CBM |
-3.080 eV |
| Work function |
4.225 eV |
| Direct gap |
Yes |
| Property |
Value |
| Band gap |
0.00 eV |
| E-fermi |
-3.080 eV |
| Vacuum level |
1.145 eV |
| VBM |
-3.080 eV |
| CBM |
-3.080 eV |
| Work function |
4.225 eV |
| Cij (N/m) |
xx |
yy |
xy |
| xx |
29.116 |
11.949 |
0.000 |
| yy |
11.949 |
29.116 |
-0.000 |
| xy |
0.000 |
-0.000 |
8.584 |
| Phonon mode at Γ point (THz) |
| -0.000 |
| 0.000 |
| 0.000 |
| 3.394 |
| 5.616 |
| 5.616 |
| Property |
Value |
| from where |
sz.tsinghua-87 |