Sn1Te2
MatHub2d-1079-Sn1Te2
| Property |
Value |
| Space group |
(187, 'P-6m2') |
| Crystal system |
hexagonal |
| Magnetic |
No |
| Band gap (PBE) (eV) |
0.00 |
| Free energy (eV) |
-9.872 |
| Free energy / atom (eV) |
-3.291 |
Lattice Parameters (basic)
| a, b, c (Å): | 3.793 | 3.793 | 30.000 |
| α, β, γ (°): | 90.000 | 90.000 | 120.000 |
Lattice Parameters (computed)
| a, b, c (Å): | 3.779 | 3.779 | 30.000 |
| α, β, γ (°): | 90.000 | 90.000 | 120.000 |
| Property |
Value |
| Band gap |
0.00 eV |
| E-fermi |
-1.798 eV |
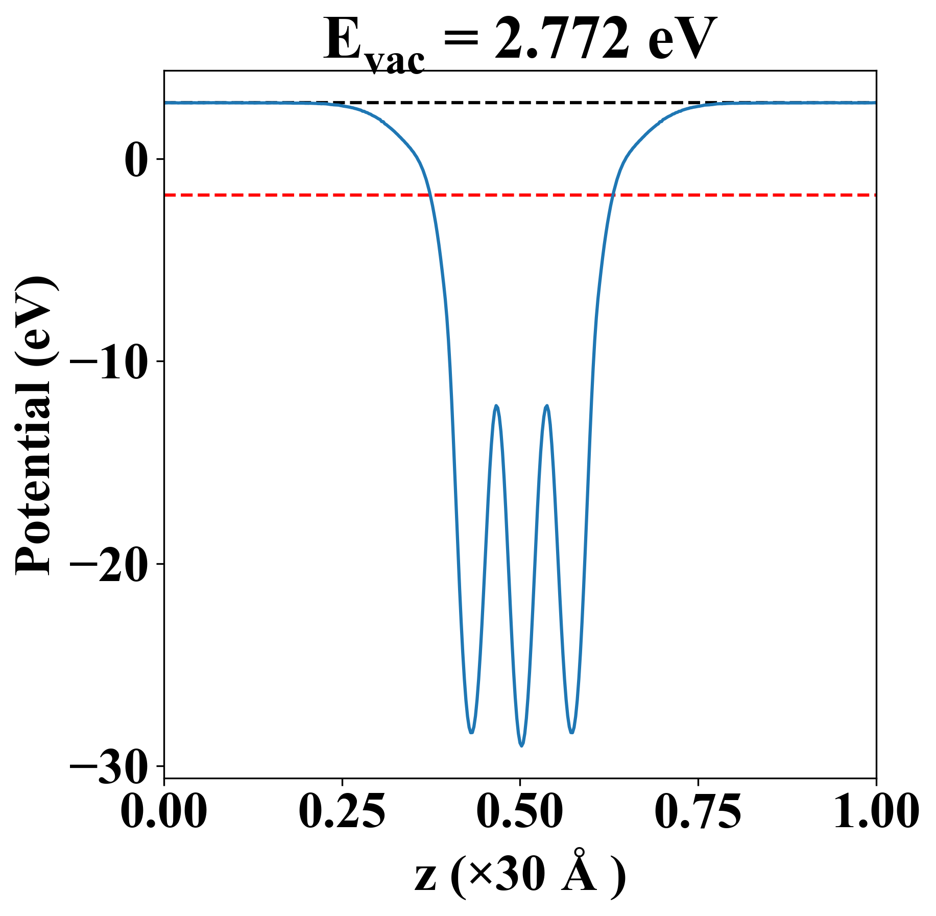
| Vacuum level |
2.772 eV |
| VBM |
-1.799 eV |
| CBM |
-1.796 eV |
| Work function |
4.570 eV |
| Direct gap |
Yes |
| Property |
Value |
| Band gap |
0.00 eV |
| E-fermi |
-1.798 eV |
| Vacuum level |
2.772 eV |
| VBM |
-1.799 eV |
| CBM |
-1.796 eV |
| Work function |
4.570 eV |
| Cij (N/m) |
xx |
yy |
xy |
| xx |
18.374 |
25.885 |
0.000 |
| yy |
25.885 |
18.374 |
-0.000 |
| xy |
0.000 |
-0.000 |
-3.756 |
| Phonon mode at Γ point (THz) |
| -0.011 |
| -0.011 |
| 0.001 |
| 1.685 |
| 1.685 |
| 2.685 |
| 2.685 |
| 2.913 |
| 3.276 |
| Property |
Value |
| from where |
c2db-631 |