Sn1Te2
MatHub2d-1078-Sn1Te2
| Property |
Value |
| Space group |
(164, 'P-3m1') |
| Crystal system |
hexagonal |
| Magnetic |
No |
| Band gap (PBE) (eV) |
0.00 |
| Free energy (eV) |
-10.496 |
| Free energy / atom (eV) |
-3.499 |
Lattice Parameters (basic)
| a, b, c (Å): | 4.122 | 4.122 | 30.000 |
| α, β, γ (°): | 90.000 | 90.000 | 120.000 |
Lattice Parameters (computed)
| a, b, c (Å): | 4.101 | 4.101 | 30.000 |
| α, β, γ (°): | 90.000 | 90.000 | 120.000 |
| Property |
Value |
| Band gap |
0.00 eV |
| E-fermi |
-2.746 eV |
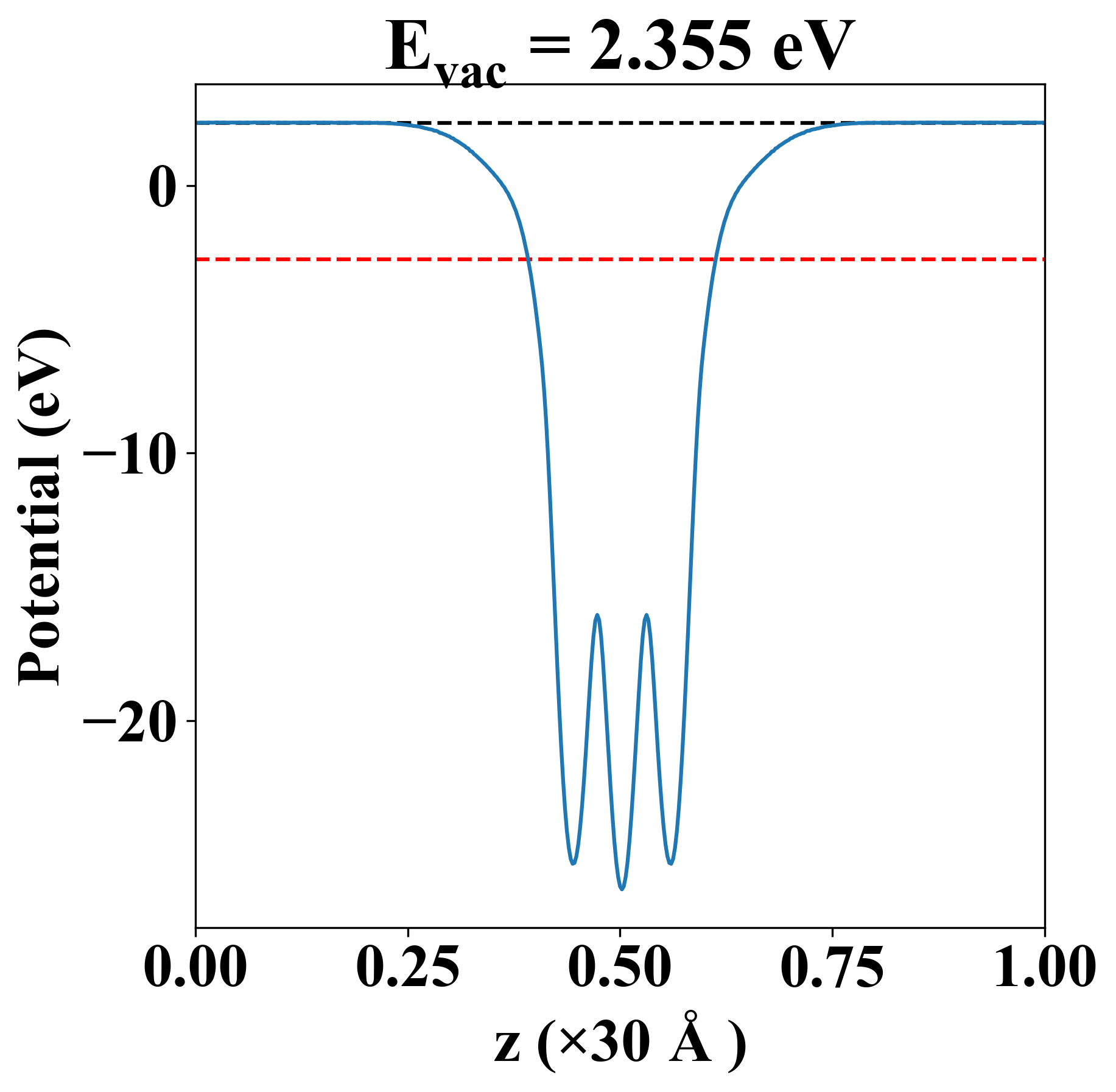
| Vacuum level |
2.355 eV |
| VBM |
-2.748 eV |
| CBM |
-2.745 eV |
| Work function |
5.101 eV |
| Direct gap |
No |
| Property |
Value |
| Band gap |
0.00 eV |
| E-fermi |
-2.746 eV |
| Vacuum level |
2.355 eV |
| VBM |
-2.748 eV |
| CBM |
-2.745 eV |
| Work function |
5.101 eV |
| Cij (N/m) |
xx |
yy |
xy |
| xx |
35.547 |
22.818 |
0.000 |
| yy |
22.818 |
35.547 |
-0.000 |
| xy |
0.000 |
-0.000 |
6.364 |
| Phonon mode at Γ point (THz) |
| -0.005 |
| -0.005 |
| -0.003 |
| 2.189 |
| 2.189 |
| 3.426 |
| 3.426 |
| 3.773 |
| 5.378 |
| Property |
Value |
| from where |
c2db-630 |