Sn1Te1
MatHub2d-1077-Sn1Te1
| Property |
Value |
| Space group |
(156, 'P3m1') |
| Crystal system |
hexagonal |
| Magnetic |
No |
| Band gap (PBE) (eV) |
1.88 |
| Free energy (eV) |
-7.305 |
| Free energy / atom (eV) |
-3.652 |
Lattice Parameters (basic)
| a, b, c (Å): | 4.173 | 4.173 | 30.000 |
| α, β, γ (°): | 90.000 | 90.000 | 120.000 |
Lattice Parameters (computed)
| a, b, c (Å): | 4.157 | 4.157 | 30.000 |
| α, β, γ (°): | 90.000 | 90.000 | 120.000 |
| Property |
Value |
| Band gap |
1.88 eV |
| E-fermi |
-3.457 eV |
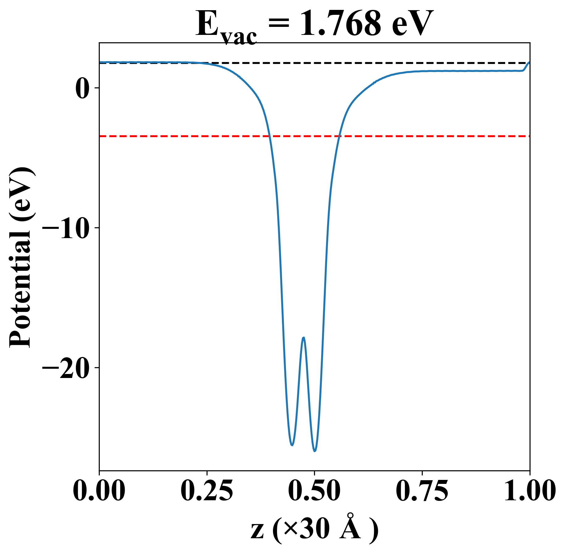
| Vacuum level |
1.768 eV |
| VBM |
-3.733 eV |
| CBM |
-1.856 eV |
| Work function |
5.225 eV |
| Direct gap |
No |
| Property |
Value |
| Band gap |
1.58 eV |
| E-fermi |
-3.152 eV |
| VBM |
-3.436 eV |
| CBM |
-1.857 eV |
| Free energy (eV) |
-7.459 |
| Free energy / atom (eV) |
-3.729 |
| Property |
Value |
| Band gap |
1.88 eV |
| E-fermi |
-3.457 eV |
| Vacuum level |
1.768 eV |
| VBM |
-3.733 eV |
| CBM |
-1.856 eV |
| Work function |
5.225 eV |
| Cij (N/m) |
xx |
yy |
xy |
| xx |
21.969 |
5.104 |
0.000 |
| yy |
5.104 |
21.969 |
-0.000 |
| xy |
0.000 |
-0.000 |
8.432 |
| Phonon mode at Γ point (THz) |
| -0.012 |
| -0.012 |
| -0.007 |
| 3.961 |
| 3.961 |
| 5.505 |
| Property |
Value |
| from where |
c2db-705 |