Si2
MatHub2d-1076-Si2
| Property |
Value |
| Space group |
(164, 'P-3m1') |
| Crystal system |
hexagonal |
| Magnetic |
No |
| Band gap (PBE) (eV) |
0.00 |
| Free energy (eV) |
-9.570 |
| Free energy / atom (eV) |
-4.785 |
Lattice Parameters (basic)
| a, b, c (Å): | 3.873 | 3.873 | 30.000 |
| α, β, γ (°): | 90.000 | 90.000 | 120.000 |
Lattice Parameters (computed)
| a, b, c (Å): | 3.866 | 3.866 | 30.000 |
| α, β, γ (°): | 90.000 | 90.000 | 120.000 |
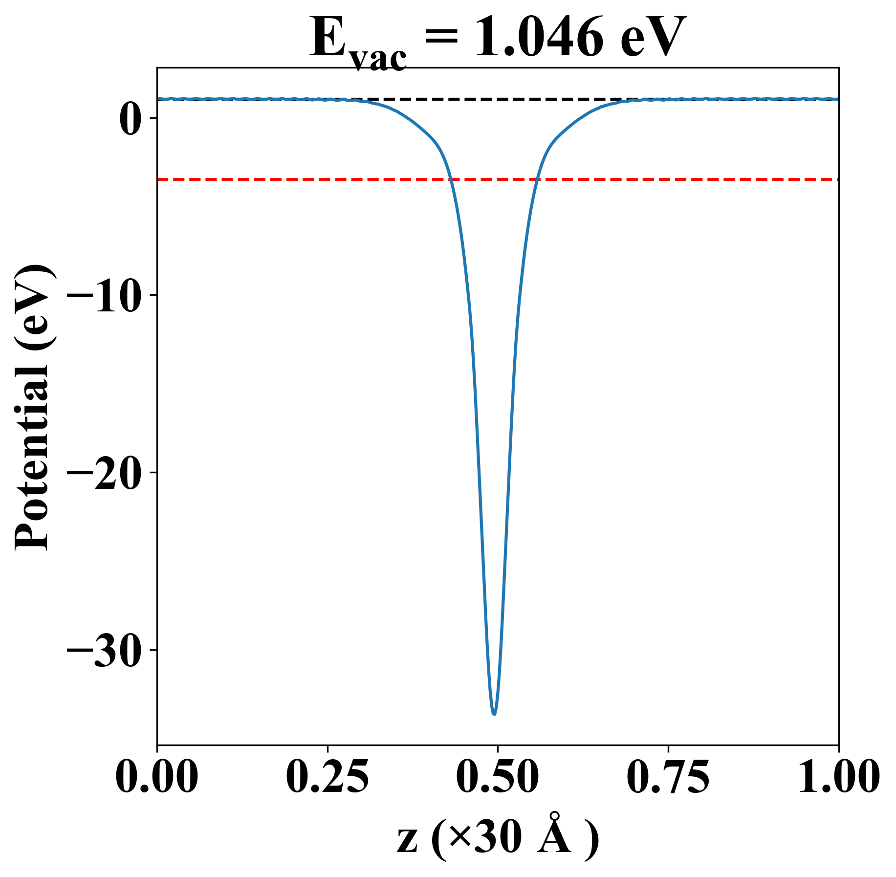
| Property |
Value |
| Band gap |
0.00 eV |
| E-fermi |
-3.494 eV |
| Vacuum level |
1.046 eV |
| VBM |
-3.494 eV |
| CBM |
-3.494 eV |
| Work function |
4.540 eV |
| Direct gap |
Yes |
| Property |
Value |
| Band gap |
0.00 eV |
| E-fermi |
-3.494 eV |
| Vacuum level |
1.046 eV |
| VBM |
-3.494 eV |
| CBM |
-3.494 eV |
| Work function |
4.540 eV |
| Cij (N/m) |
xx |
yy |
xy |
| xx |
68.417 |
21.226 |
-0.000 |
| yy |
21.226 |
68.417 |
-0.000 |
| xy |
-0.000 |
-0.000 |
23.596 |
| Phonon mode at Γ point (THz) |
| 0.000 |
| 0.000 |
| 0.000 |
| 5.650 |
| 16.561 |
| 16.561 |
| Property |
Value |
| from where |
c2db-708 |