Si1Te2
MatHub2d-1075-Si1Te2
| Property |
Value |
| Space group |
(164, 'P-3m1') |
| Crystal system |
hexagonal |
| Magnetic |
No |
| Band gap (PBE) (eV) |
0.00 |
| Free energy (eV) |
-11.536 |
| Free energy / atom (eV) |
-3.845 |
Lattice Parameters (basic)
| a, b, c (Å): | 3.815 | 3.815 | 30.000 |
| α, β, γ (°): | 90.000 | 90.000 | 120.000 |
Lattice Parameters (computed)
| a, b, c (Å): | 3.784 | 3.784 | 30.000 |
| α, β, γ (°): | 90.000 | 90.000 | 120.000 |
| Property |
Value |
| Band gap |
0.00 eV |
| E-fermi |
-2.275 eV |
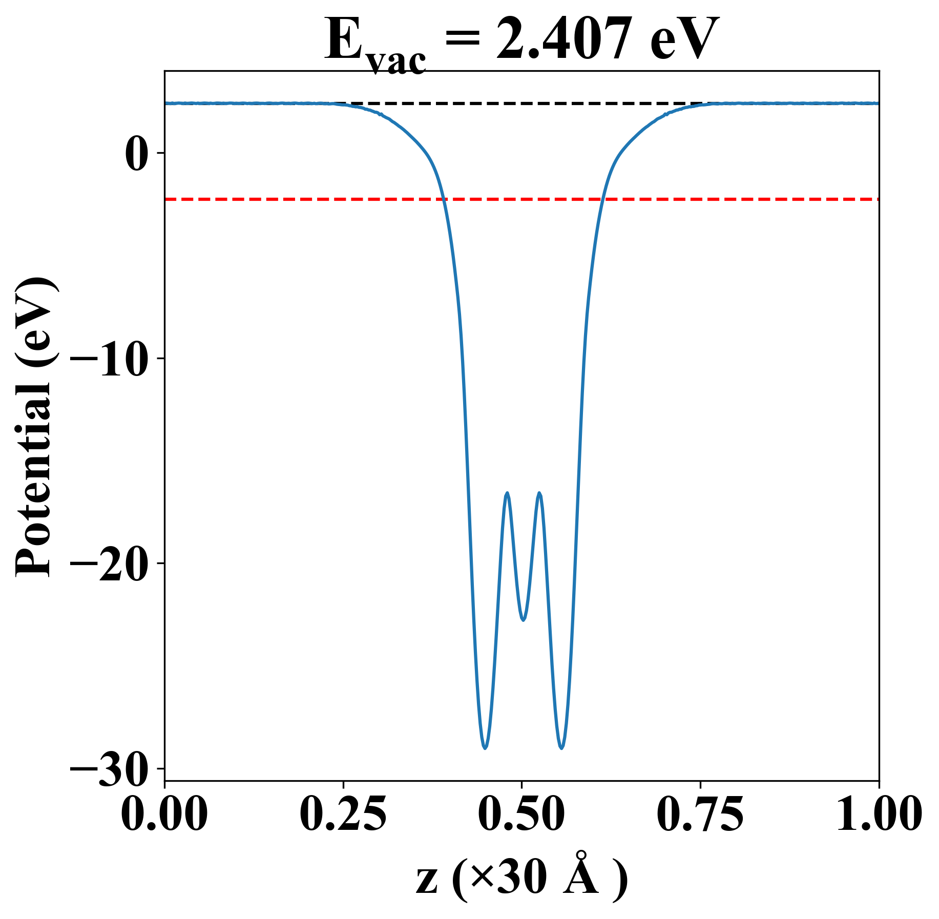
| Vacuum level |
2.407 eV |
| VBM |
-2.275 eV |
| CBM |
-2.275 eV |
| Work function |
4.683 eV |
| Direct gap |
No |
| Property |
Value |
| Band gap |
0.00 eV |
| E-fermi |
-2.275 eV |
| Vacuum level |
2.407 eV |
| VBM |
-2.275 eV |
| CBM |
-2.275 eV |
| Work function |
4.683 eV |
| Cij (N/m) |
xx |
yy |
xy |
| xx |
53.539 |
37.285 |
-0.000 |
| yy |
37.285 |
53.539 |
0.000 |
| xy |
-0.000 |
0.000 |
8.127 |
| Phonon mode at Γ point (THz) |
| -0.002 |
| -0.001 |
| -0.001 |
| 2.388 |
| 2.388 |
| 4.254 |
| 5.764 |
| 5.764 |
| 8.680 |
| Property |
Value |
| from where |
JVASP-5911 |