Se2Zr2
MatHub2d-1074-Se2Zr2
| Property |
Value |
| Space group |
(187, 'P-6m2') |
| Crystal system |
hexagonal |
| Magnetic |
No |
| Band gap (PBE) (eV) |
0.11 |
| Free energy (eV) |
-26.908 |
| Free energy / atom (eV) |
-6.727 |
Lattice Parameters (basic)
| a, b, c (Å): | 3.596 | 3.596 | 30.000 |
| α, β, γ (°): | 90.000 | 90.000 | 120.000 |
Lattice Parameters (computed)
| a, b, c (Å): | 3.593 | 3.593 | 30.000 |
| α, β, γ (°): | 90.000 | 90.000 | 120.000 |
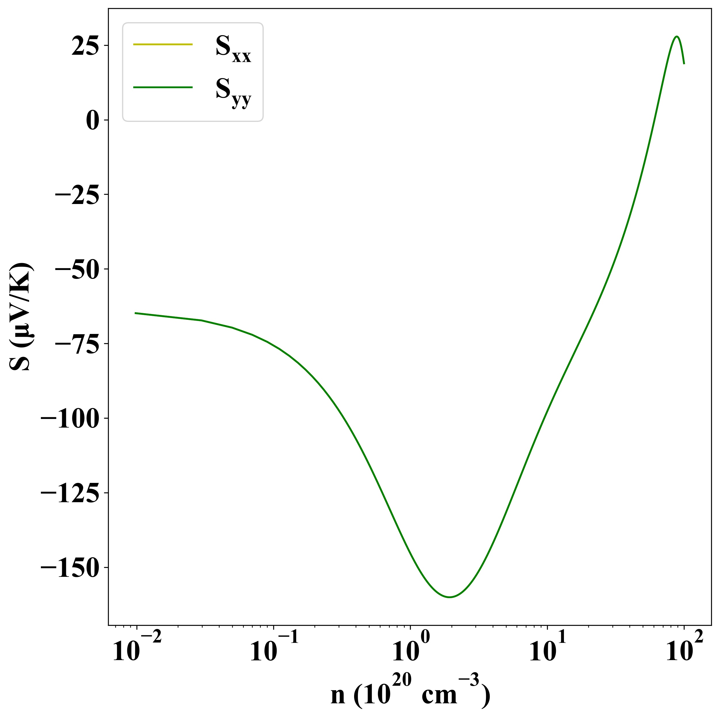
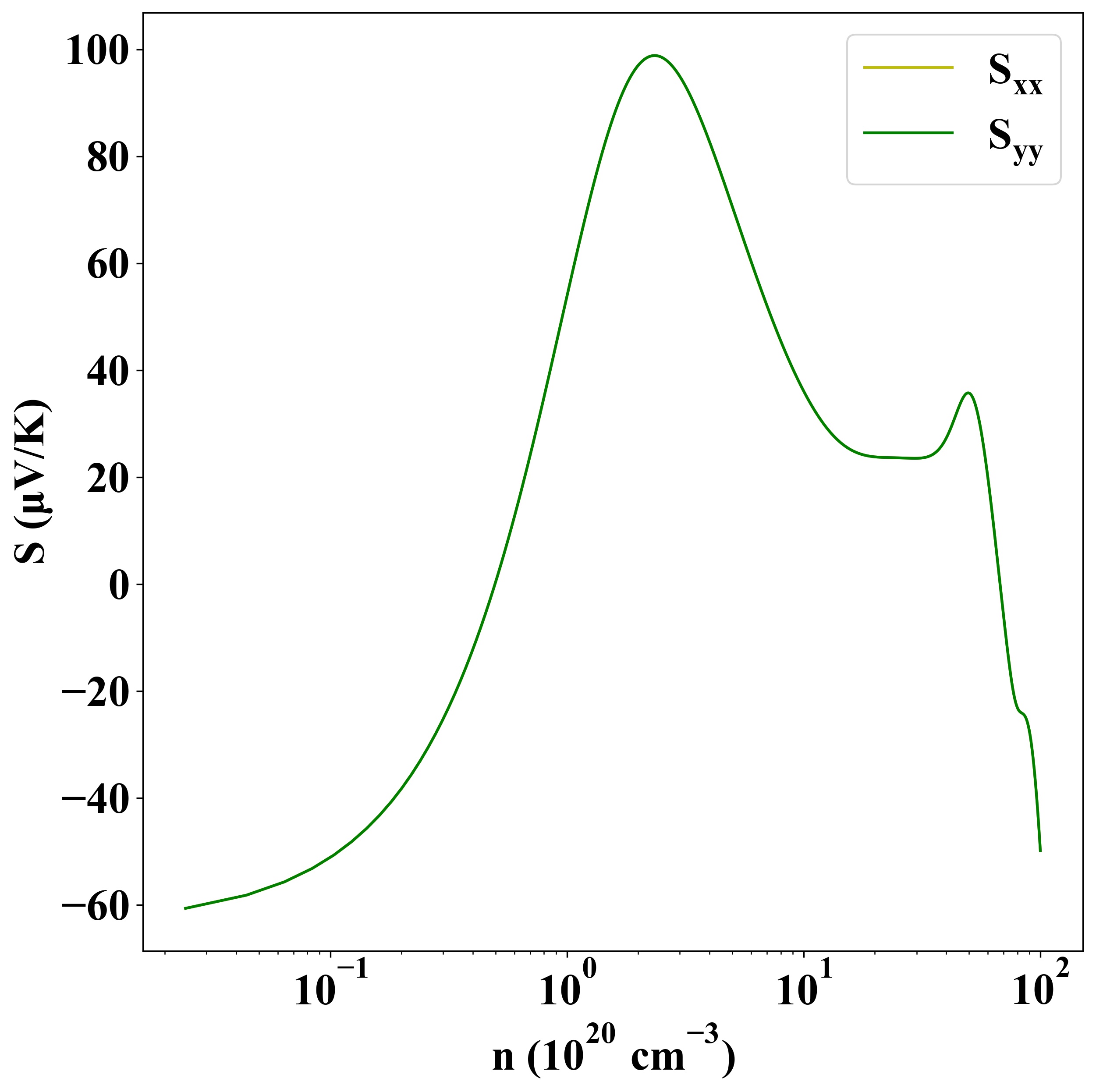
| Property |
Value |
| Band gap |
0.11 eV |
| E-fermi |
-1.631 eV |
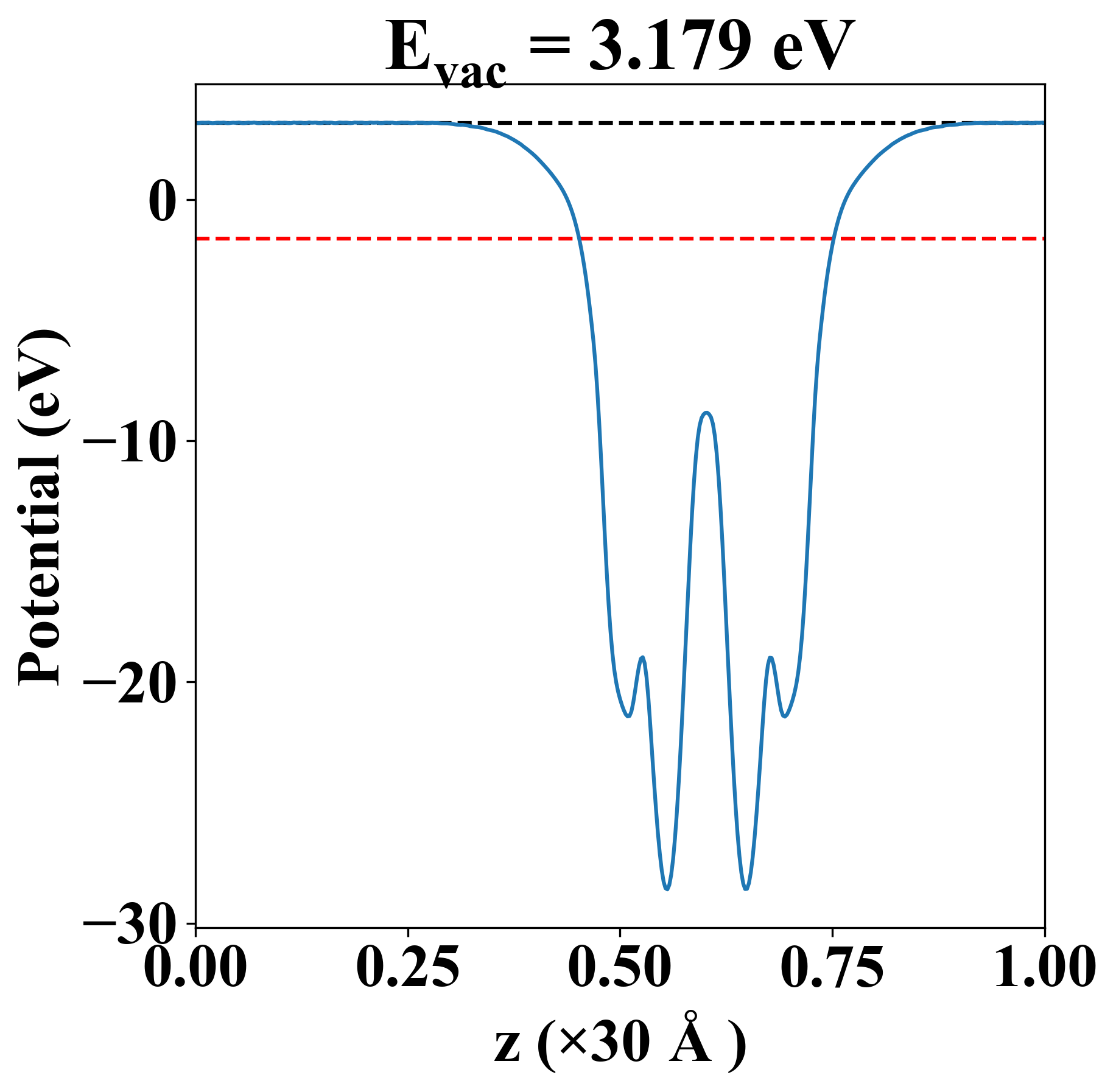
| Vacuum level |
3.179 eV |
| VBM |
-1.693 eV |
| CBM |
-1.580 eV |
| Work function |
4.810 eV |
| Direct gap |
No |
| Property |
Value |
| Band gap |
0.09 eV |
| E-fermi |
-1.638 eV |
| VBM |
-1.696 eV |
| CBM |
-1.604 eV |
| Free energy (eV) |
-27.094 |
| Free energy / atom (eV) |
-6.774 |
| Property |
Value |
| Band gap |
0.11 eV |
| E-fermi |
-1.631 eV |
| Vacuum level |
3.179 eV |
| VBM |
-1.693 eV |
| CBM |
-1.580 eV |
| Work function |
4.810 eV |
| Cij (N/m) |
xx |
yy |
xy |
| xx |
76.278 |
11.781 |
-0.000 |
| yy |
11.781 |
76.278 |
0.000 |
| xy |
-0.000 |
0.000 |
32.248 |
| Phonon mode at Γ point (THz) |
| -0.004 |
| -0.004 |
| 0.001 |
| 0.790 |
| 0.790 |
| 3.168 |
| 4.998 |
| 4.998 |
| 5.388 |
| 5.388 |
| 7.630 |
| 8.124 |
| Property |
Value |
| from where |
c2db-1721 |