Se2Zr1
MatHub2d-1073-Se2Zr1
| Property |
Value |
| Space group |
(187, 'P-6m2') |
| Crystal system |
hexagonal |
| Magnetic |
No |
| Band gap (PBE) (eV) |
0.79 |
| Free energy (eV) |
-19.161 |
| Free energy / atom (eV) |
-6.387 |
Lattice Parameters (basic)
| a, b, c (Å): | 3.702 | 3.702 | 30.000 |
| α, β, γ (°): | 90.000 | 90.000 | 120.000 |
Lattice Parameters (computed)
| a, b, c (Å): | 3.708 | 3.708 | 30.000 |
| α, β, γ (°): | 90.000 | 90.000 | 120.000 |
| Property |
Value |
| Band gap |
0.79 eV |
| E-fermi |
-3.761 eV |
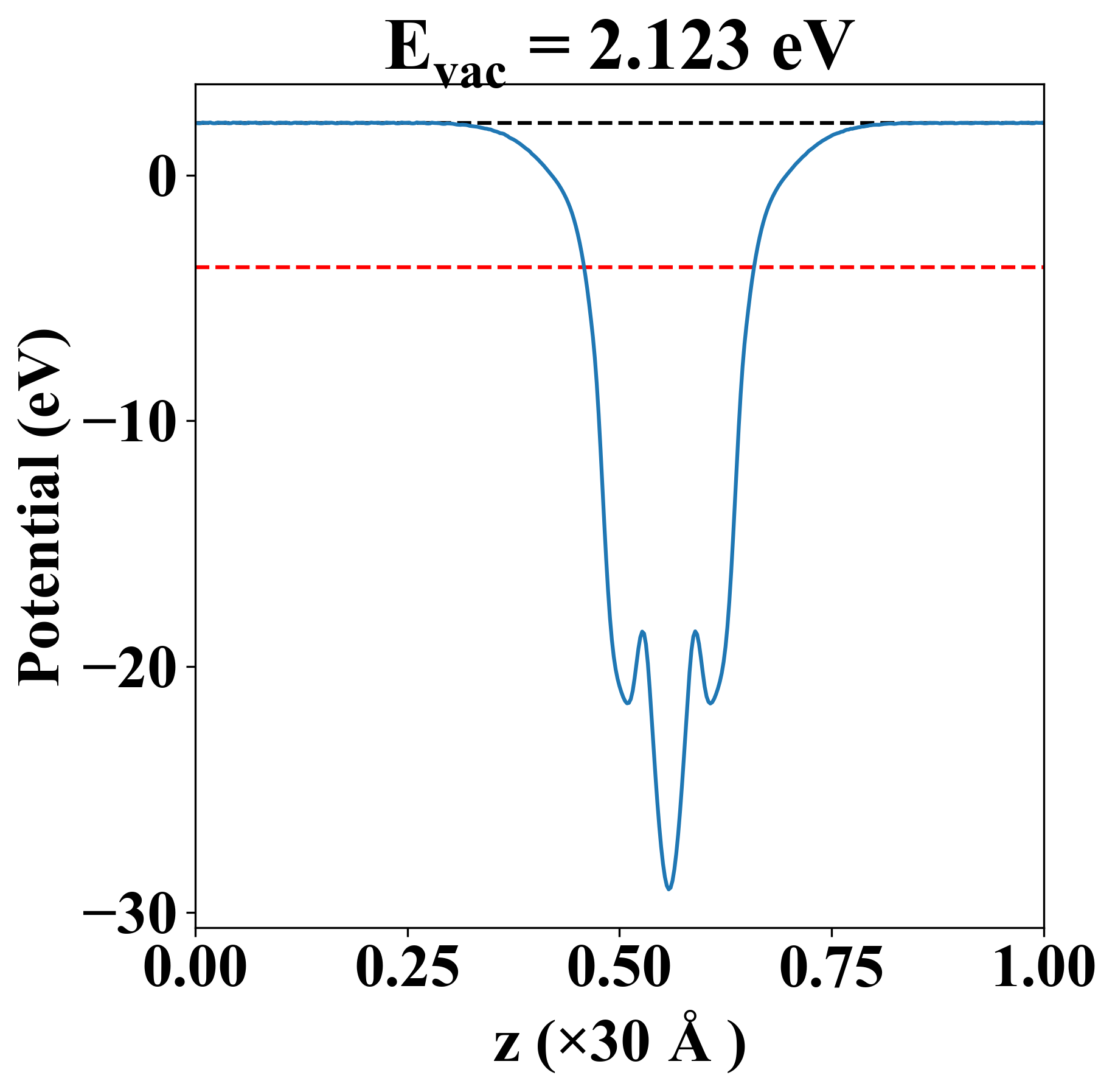
| Vacuum level |
2.123 eV |
| VBM |
-4.147 eV |
| CBM |
-3.361 eV |
| Work function |
5.883 eV |
| Direct gap |
No |
| Property |
Value |
| Band gap |
0.74 eV |
| E-fermi |
-3.904 eV |
| VBM |
-4.116 eV |
| CBM |
-3.375 eV |
| Free energy (eV) |
-19.276 |
| Free energy / atom (eV) |
-6.425 |
| Property |
Value |
| Band gap |
0.79 eV |
| E-fermi |
-3.761 eV |
| Vacuum level |
2.123 eV |
| VBM |
-4.147 eV |
| CBM |
-3.361 eV |
| Work function |
5.883 eV |
| Cij (N/m) |
xx |
yy |
xy |
| xx |
71.171 |
25.932 |
0.000 |
| yy |
25.932 |
71.171 |
0.000 |
| xy |
0.000 |
0.000 |
22.620 |
| Phonon mode at Γ point (THz) |
| -0.001 |
| -0.001 |
| 0.000 |
| 1.742 |
| 1.742 |
| 5.517 |
| 5.517 |
| 6.248 |
| 7.496 |
| Property |
Value |
| from where |
c2db-672 |