Se2Zr1
MatHub2d-1072-Se2Zr1
| Property |
Value |
| Space group |
(164, 'P-3m1') |
| Crystal system |
hexagonal |
| Magnetic |
No |
| Band gap (PBE) (eV) |
0.50 |
| Free energy (eV) |
-19.592 |
| Free energy / atom (eV) |
-6.531 |
Lattice Parameters (basic)
| a, b, c (Å): | 3.818 | 3.818 | 30.000 |
| α, β, γ (°): | 90.000 | 90.000 | 120.000 |
Lattice Parameters (computed)
| a, b, c (Å): | 3.803 | 3.803 | 30.000 |
| α, β, γ (°): | 90.000 | 90.000 | 120.000 |
| Property |
Value |
| Band gap |
0.50 eV |
| E-fermi |
-3.324 eV |
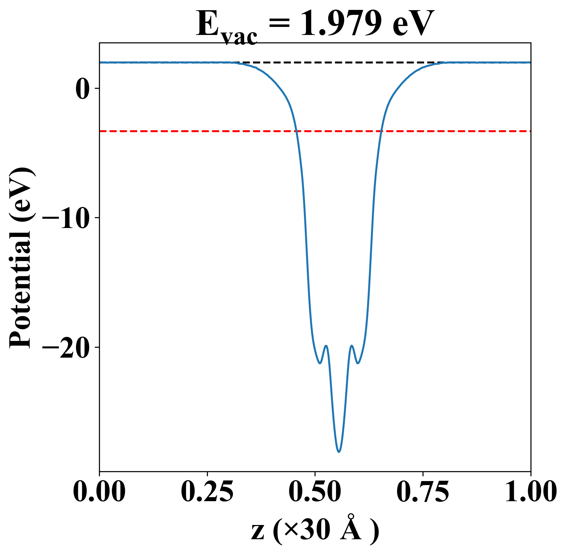
| Vacuum level |
1.979 eV |
| VBM |
-3.606 eV |
| CBM |
-3.104 eV |
| Work function |
5.303 eV |
| Direct gap |
No |
| Property |
Value |
| Band gap |
0.50 eV |
| E-fermi |
-3.324 eV |
| Vacuum level |
1.979 eV |
| VBM |
-3.606 eV |
| CBM |
-3.104 eV |
| Work function |
5.303 eV |
| Cij (N/m) |
xx |
yy |
xy |
| xx |
63.051 |
12.673 |
0.000 |
| yy |
12.673 |
63.051 |
0.000 |
| xy |
0.000 |
0.000 |
25.189 |
| Phonon mode at Γ point (THz) |
| -0.001 |
| -0.001 |
| 0.001 |
| 2.997 |
| 2.997 |
| 4.194 |
| 4.194 |
| 5.483 |
| 7.442 |
| Property |
Value |
| from where |
shu-80 |