Se2W2
MatHub2d-1071-Se2W2
| Property |
Value |
| Space group |
(187, 'P-6m2') |
| Crystal system |
hexagonal |
| Magnetic |
|
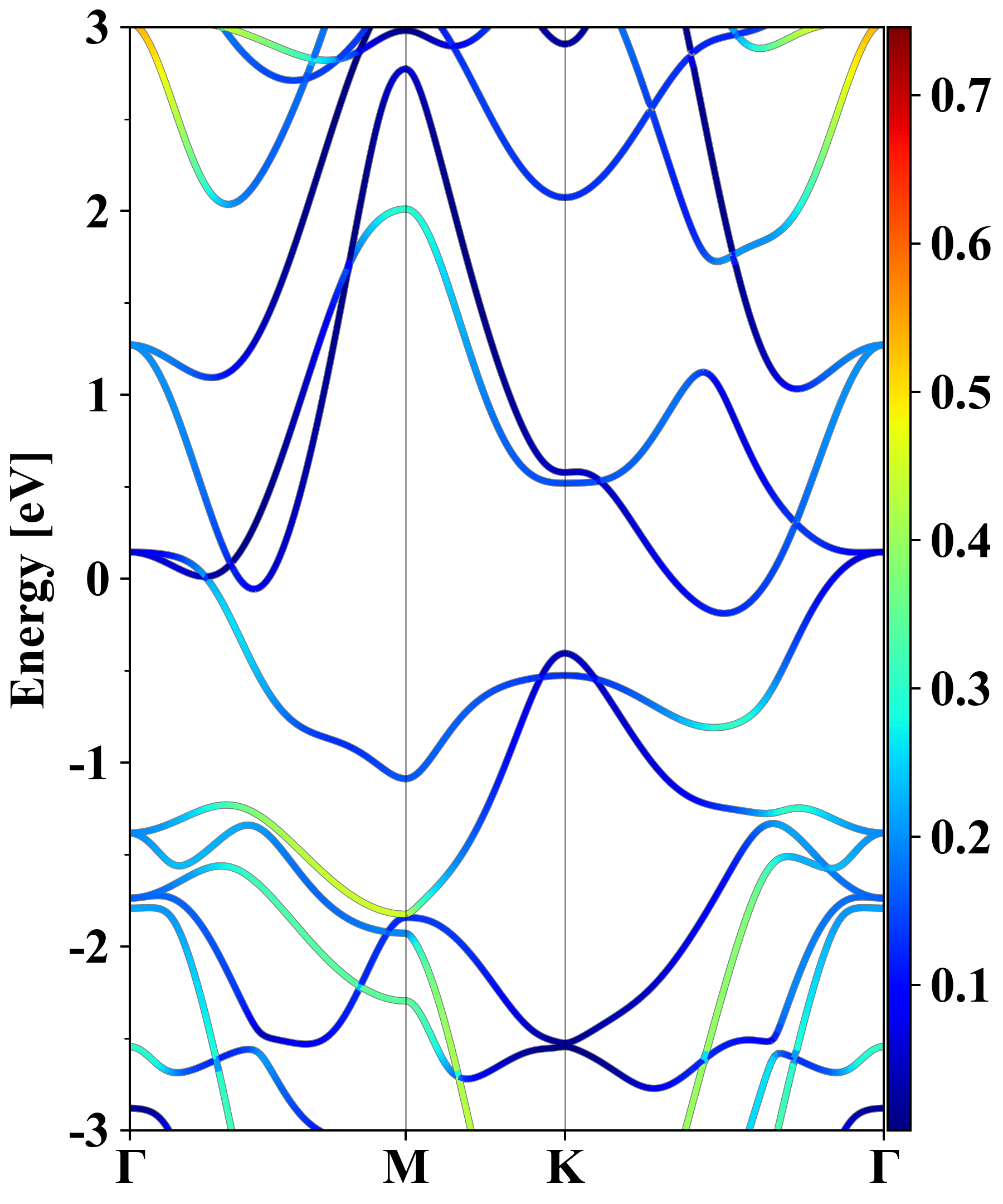
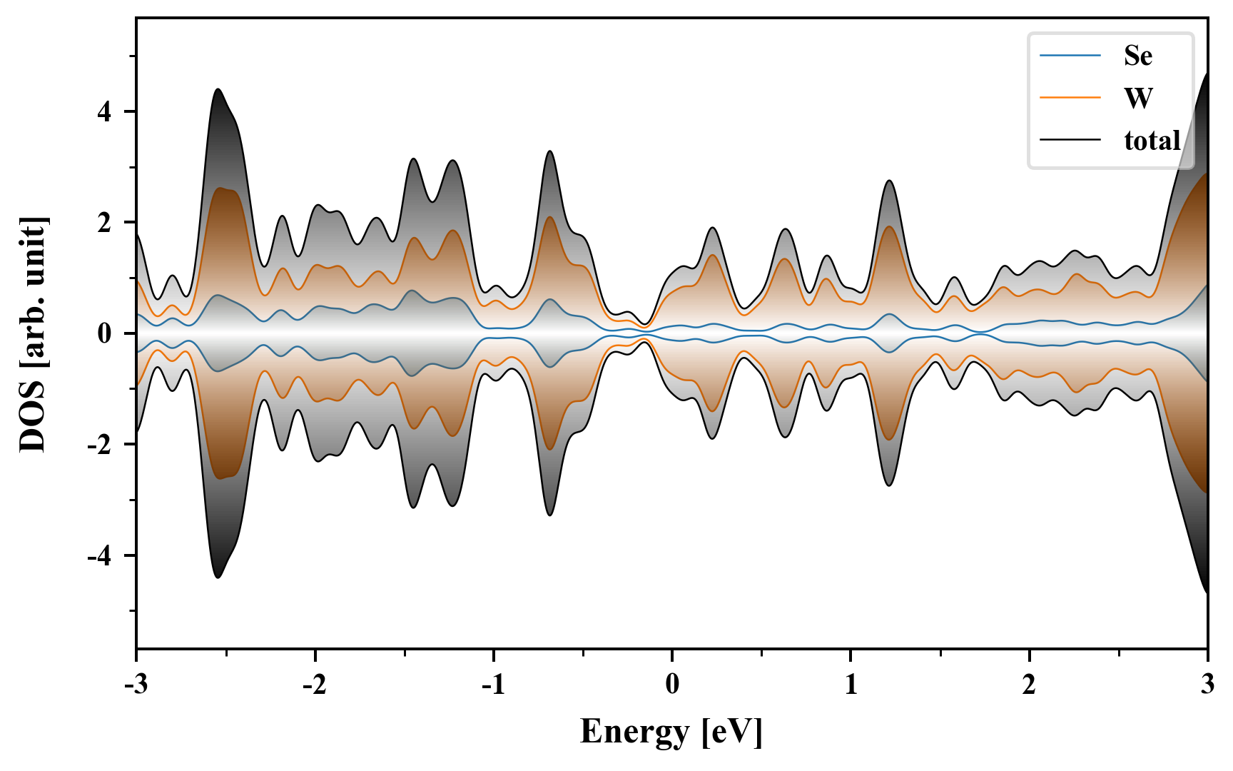
| Band gap (PBE) (eV) |
0.01 |
| Free energy (eV) |
-26.853 |
| Free energy / atom (eV) |
-6.713 |
Lattice Parameters (basic)
| a, b, c (Å): | 3.105 | 3.105 | 30.000 |
| α, β, γ (°): | 90.000 | 90.000 | 120.000 |
Lattice Parameters (computed)
| a, b, c (Å): | 3.095 | 3.095 | 30.000 |
| α, β, γ (°): | 90.000 | 90.000 | 120.000 |
| Property |
Value |
| Band gap |
0.01 eV |
| E-fermi |
-1.241 eV |
| Vacuum level |
3.526 eV |
| VBM |
-1.246 eV |
| CBM |
-1.235 eV |
| Work function |
4.767 eV |
| Direct gap |
No |
| Property |
Value |
| Band gap |
0.01 eV |
| E-fermi |
-1.241 eV |
| Vacuum level |
3.526 eV |
| VBM |
-1.246 eV |
| CBM |
-1.235 eV |
| Work function |
4.767 eV |
| Cij (N/m) |
xx |
yy |
xy |
| xx |
146.296 |
31.372 |
0.000 |
| yy |
31.372 |
146.296 |
0.000 |
| xy |
0.000 |
0.000 |
57.462 |
| Phonon mode at Γ point (THz) |
| -2.545 |
| -2.545 |
| -0.001 |
| -0.001 |
| 0.001 |
| 3.682 |
| 5.279 |
| 5.279 |
| 5.586 |
| 5.586 |
| 7.759 |
| 7.977 |
| Property |
Value |
| from where |
c2db-1716 |