Se2W1
MatHub2d-1070-Se2W1
| Property |
Value |
| Space group |
(187, 'P-6m2') |
| Crystal system |
hexagonal |
| Magnetic |
No |
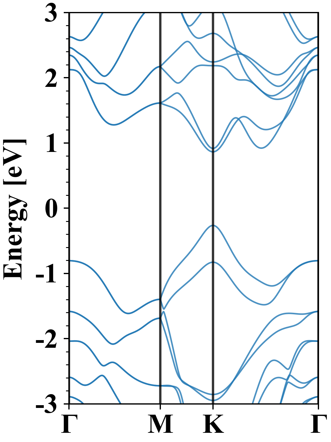
| Band gap (PBE) (eV) |
1.49 |
| Free energy (eV) |
-19.008 |
| Free energy / atom (eV) |
-6.336 |
Lattice Parameters (basic)
| a, b, c (Å): | 3.319 | 3.319 | 30.000 |
| α, β, γ (°): | 90.000 | 90.000 | 120.000 |
Lattice Parameters (computed)
| a, b, c (Å): | 3.326 | 3.326 | 30.000 |
| α, β, γ (°): | 90.000 | 90.000 | 120.000 |
| Property |
Value |
| Band gap |
1.49 eV |
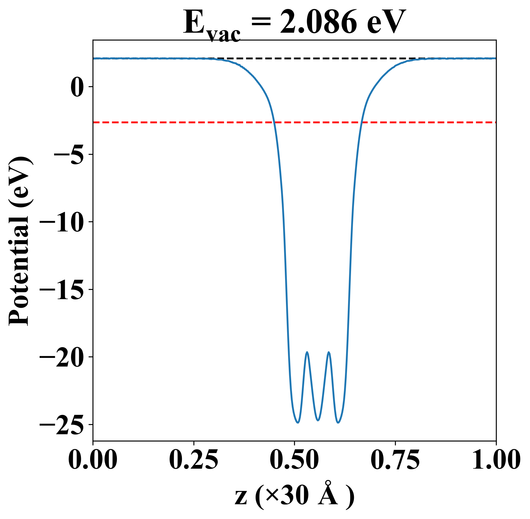
| E-fermi |
-2.638 eV |
| Vacuum level |
2.086 eV |
| VBM |
-2.907 eV |
| CBM |
-1.417 eV |
| Work function |
4.724 eV |
| Direct gap |
Yes |
| Property |
Value |
| Band gap |
1.13 eV |
| E-fermi |
-2.384 eV |
| VBM |
-2.648 eV |
| CBM |
-1.520 eV |
| Free energy (eV) |
-19.225 |
| Free energy / atom (eV) |
-6.408 |
| Property |
Value |
| Band gap |
1.49 eV |
| E-fermi |
-2.638 eV |
| Vacuum level |
2.086 eV |
| VBM |
-2.907 eV |
| CBM |
-1.417 eV |
| Work function |
4.724 eV |
| Cij (N/m) |
xx |
yy |
xy |
| xx |
118.235 |
22.523 |
0.000 |
| yy |
22.523 |
118.235 |
0.000 |
| xy |
0.000 |
0.000 |
47.856 |
| Phonon mode at Γ point (THz) |
| -0.001 |
| -0.001 |
| 0.001 |
| 5.003 |
| 5.003 |
| 7.102 |
| 7.102 |
| 7.222 |
| 8.867 |
| Property |
Value |
| from where |
c2db-664 |