Se2W1
MatHub2d-1069-Se2W1
| Property |
Value |
| Space group |
(164, 'P-3m1') |
| Crystal system |
hexagonal |
| Magnetic |
No |
| Band gap (PBE) (eV) |
0.00 |
| Free energy (eV) |
-18.247 |
| Free energy / atom (eV) |
-6.082 |
Lattice Parameters (basic)
| a, b, c (Å): | 3.270 | 3.270 | 30.000 |
| α, β, γ (°): | 90.000 | 90.000 | 120.000 |
Lattice Parameters (computed)
| a, b, c (Å): | 3.301 | 3.301 | 30.000 |
| α, β, γ (°): | 90.000 | 90.000 | 120.000 |
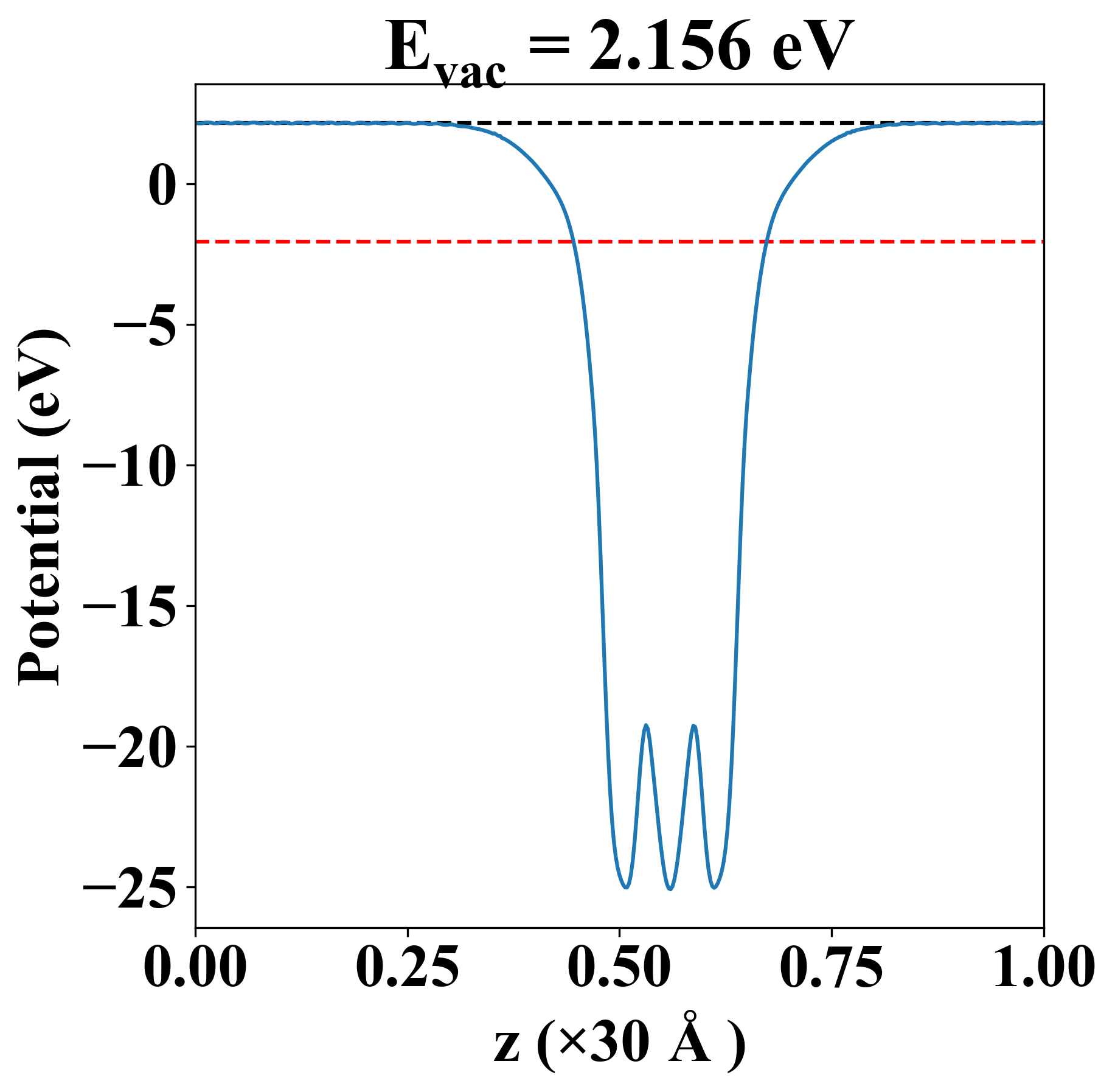
| Property |
Value |
| Band gap |
0.00 eV |
| E-fermi |
-2.067 eV |
| Vacuum level |
2.156 eV |
| VBM |
-2.075 eV |
| CBM |
-2.065 eV |
| Work function |
4.223 eV |
| Direct gap |
No |
| Property |
Value |
| Band gap |
0.00 eV |
| E-fermi |
-2.067 eV |
| Vacuum level |
2.156 eV |
| VBM |
-2.075 eV |
| CBM |
-2.065 eV |
| Work function |
4.223 eV |
| Cij (N/m) |
xx |
yy |
xy |
| xx |
94.804 |
-6.432 |
-0.000 |
| yy |
-6.432 |
94.804 |
-0.000 |
| xy |
-0.000 |
-0.000 |
50.618 |
| Phonon mode at Γ point (THz) |
| -0.002 |
| -0.001 |
| -0.001 |
| 4.662 |
| 4.662 |
| 4.749 |
| 4.749 |
| 6.607 |
| 7.639 |
| Property |
Value |
| from where |
sz.tsinghua-116 |