Se2V2
MatHub2d-1068-Se2V2
| Property |
Value |
| Space group |
(187, 'P-6m2') |
| Crystal system |
hexagonal |
| Magnetic |
No |
| Band gap (PBE) (eV) |
0.56 |
| Free energy (eV) |
-20.327 |
| Free energy / atom (eV) |
-5.082 |
Lattice Parameters (basic)
| a, b, c (Å): | 3.687 | 3.687 | 30.000 |
| α, β, γ (°): | 90.000 | 90.000 | 120.000 |
Lattice Parameters (computed)
| a, b, c (Å): | 3.792 | 3.792 | 30.000 |
| α, β, γ (°): | 90.000 | 90.000 | 120.000 |
| Property |
Value |
| Band gap |
0.56 eV |
| E-fermi |
-2.611 eV |
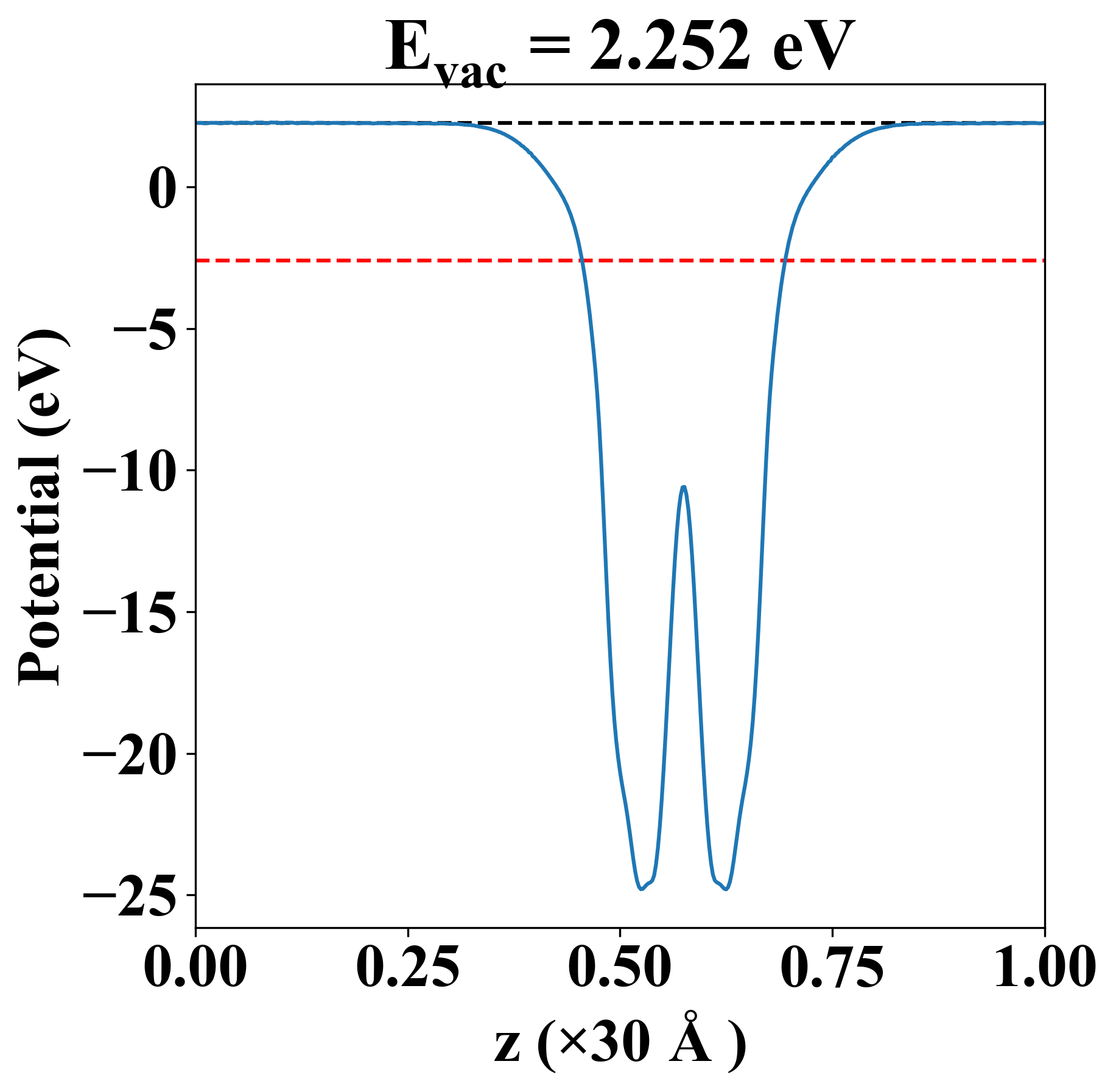
| Vacuum level |
2.252 eV |
| VBM |
-2.923 eV |
| CBM |
-2.366 eV |
| Work function |
4.863 eV |
| Direct gap |
No |
| Property |
Value |
| Band gap |
0.56 eV |
| E-fermi |
-2.611 eV |
| Vacuum level |
2.252 eV |
| VBM |
-2.923 eV |
| CBM |
-2.366 eV |
| Work function |
4.863 eV |
| Cij (N/m) |
xx |
yy |
xy |
| xx |
29.463 |
15.516 |
0.000 |
| yy |
15.516 |
29.463 |
0.000 |
| xy |
0.000 |
0.000 |
6.974 |
| Phonon mode at Γ point (THz) |
| -0.012 |
| -0.004 |
| -0.004 |
| 1.768 |
| 1.768 |
| 4.196 |
| 7.008 |
| 7.008 |
| 7.538 |
| 8.804 |
| 8.804 |
| 11.585 |
| Carrier type |
C2D (N/m) |
Edef (eV) |
μ (cm2V-1s-1) |
| x |
y |
x |
y |
x |
y |
| hole |
29.30 |
29.16 |
-4.89 |
-6.12 |
-4.68 |
-2.97 |
| electron |
-3.14 |
-4.70 |
0.74 |
0.33 |
| Property |
Value |
| from where |
c2db-1712 |