Se2V1
MatHub2d-1067-Se2V1
| Property |
Value |
| Space group |
(187, 'P-6m2') |
| Crystal system |
hexagonal |
| Magnetic |
Yes |
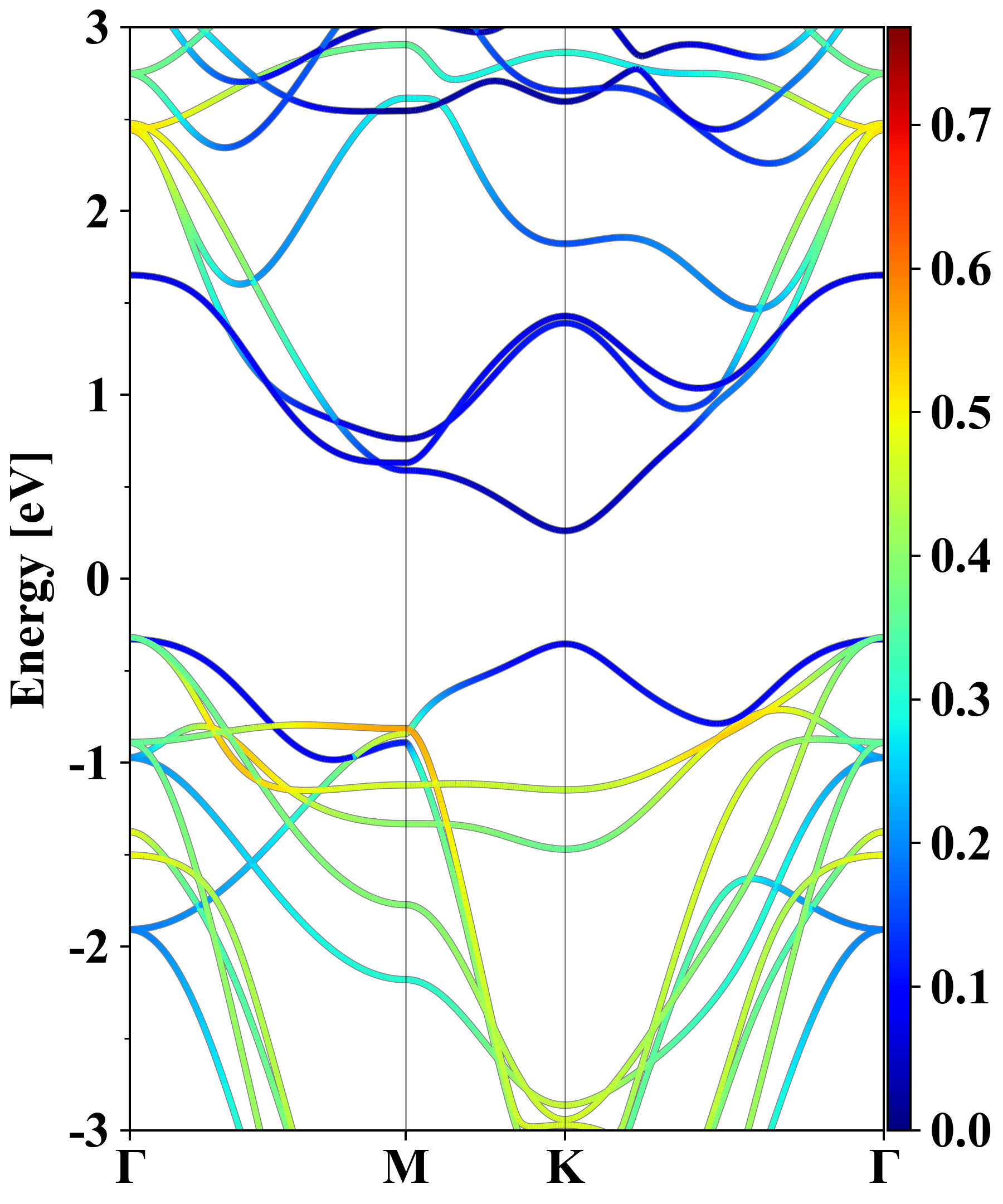
| Band gap (PBE) (eV) |
0.58 |
| Free energy (eV) |
-15.524 |
| Free energy / atom (eV) |
-5.175 |
Lattice Parameters (basic)
| a, b, c (Å): | 3.343 | 3.343 | 30.000 |
| α, β, γ (°): | 90.000 | 90.000 | 120.000 |
Lattice Parameters (computed)
| a, b, c (Å): | 3.375 | 3.375 | 30.000 |
| α, β, γ (°): | 90.000 | 90.000 | 120.000 |
| Property |
Value |
| Band gap |
0.58 eV |
| E-fermi |
-3.318 eV |
| Vacuum level |
2.079 eV |
| VBM |
-3.639 eV |
| CBM |
-3.058 eV |
| Work function |
5.398 eV |
| Direct gap |
No |
| Property |
Value |
| Band gap |
0.52 eV |
| E-fermi |
-3.364 eV |
| VBM |
-3.595 eV |
| CBM |
-3.076 eV |
| Free energy (eV) |
-15.576 |
| Free energy / atom (eV) |
-5.192 |
| Property |
Value |
| Band gap |
0.58 eV |
| E-fermi |
-3.318 eV |
| Vacuum level |
2.079 eV |
| VBM |
-3.639 eV |
| CBM |
-3.058 eV |
| Work function |
5.398 eV |
| Cij (N/m) |
xx |
yy |
xy |
| xx |
77.288 |
24.121 |
0.000 |
| yy |
24.121 |
77.288 |
0.000 |
| xy |
0.000 |
0.000 |
26.583 |
| Phonon mode at Γ point (THz) |
| -0.005 |
| -0.005 |
| -0.001 |
| 3.309 |
| 3.309 |
| 6.218 |
| 7.935 |
| 7.935 |
| 9.271 |
| Property |
Value |
| from where |
c2db-656 |