Se2V1
MatHub2d-1066-Se2V1
| Property |
Value |
| Space group |
(164, 'P-3m1') |
| Crystal system |
hexagonal |
| Magnetic |
Yes |
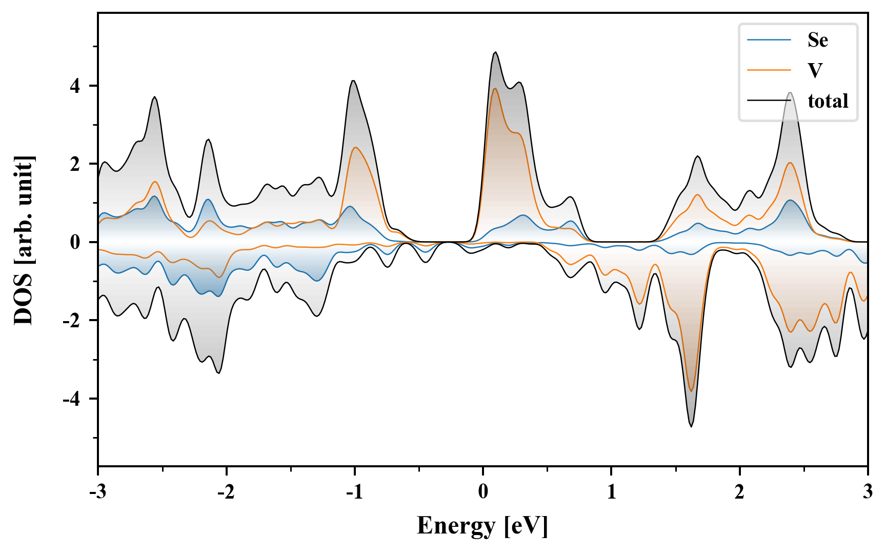
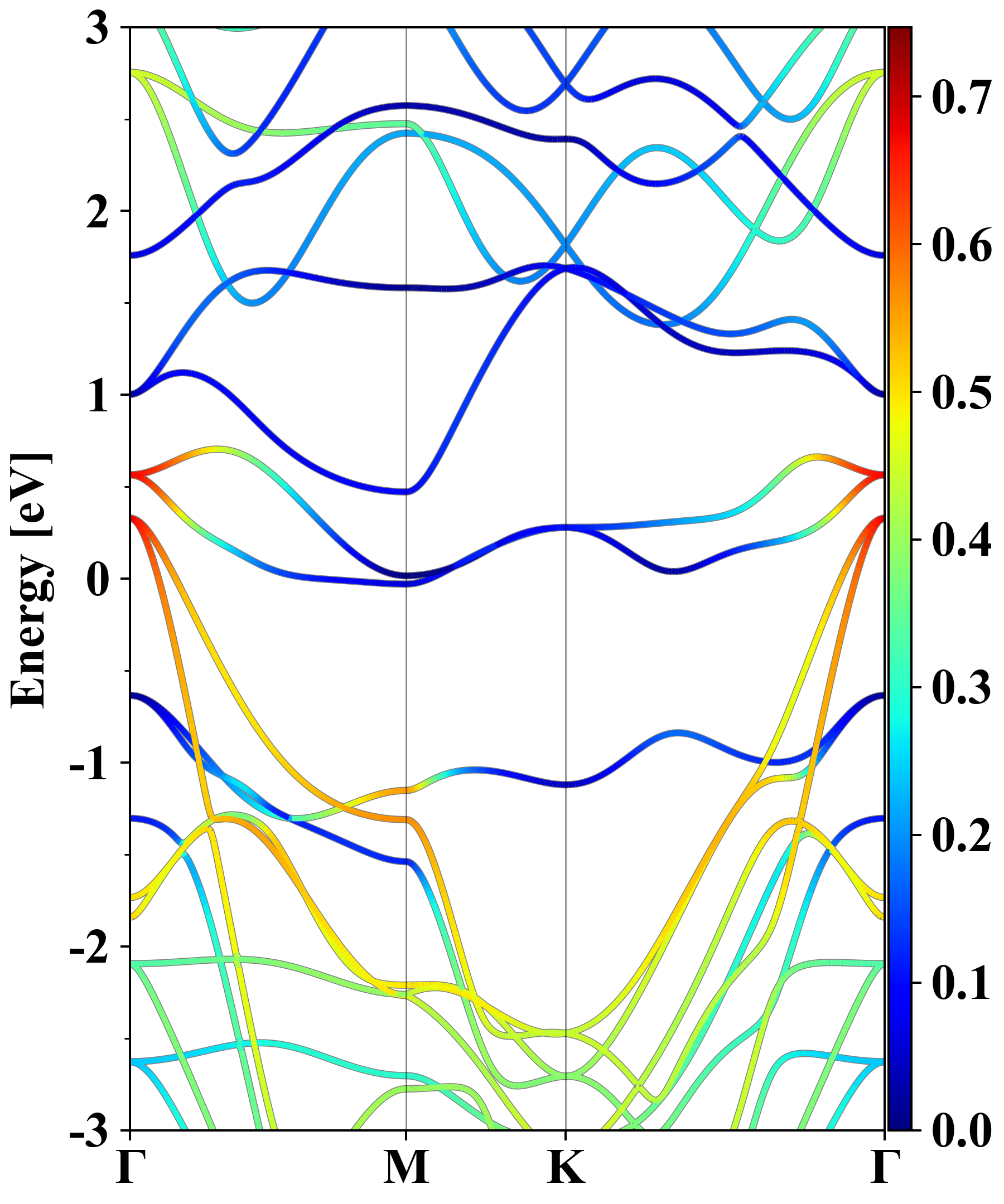
| Band gap (PBE) (eV) |
0.00 |
| Free energy (eV) |
-15.566 |
| Free energy / atom (eV) |
-5.189 |
Lattice Parameters (basic)
| a, b, c (Å): | 3.330 | 3.330 | 30.000 |
| α, β, γ (°): | 90.000 | 90.000 | 120.000 |
Lattice Parameters (computed)
| a, b, c (Å): | 3.465 | 3.465 | 30.000 |
| α, β, γ (°): | 90.000 | 90.000 | 120.000 |
| Property |
Value |
| Band gap |
0.00 eV |
| E-fermi |
-3.056 eV |
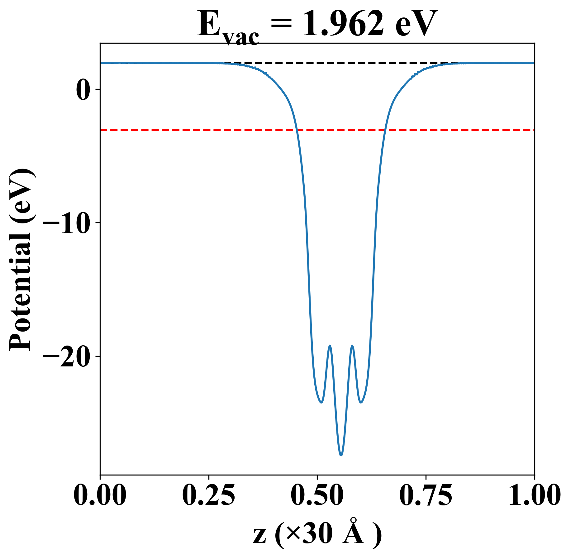
| Vacuum level |
1.962 eV |
| VBM |
-3.056 eV |
| CBM |
-3.056 eV |
| Work function |
5.018 eV |
| Direct gap |
No |
| Property |
Value |
| Band gap |
0.00 eV |
| E-fermi |
-3.056 eV |
| Vacuum level |
1.962 eV |
| VBM |
-3.056 eV |
| CBM |
-3.056 eV |
| Work function |
5.018 eV |
| Cij (N/m) |
xx |
yy |
xy |
| xx |
63.107 |
10.703 |
0.000 |
| yy |
10.703 |
63.107 |
-0.000 |
| xy |
0.000 |
-0.000 |
26.202 |
| Phonon mode at Γ point (THz) |
| -0.010 |
| -0.004 |
| -0.004 |
| 3.837 |
| 3.837 |
| 4.239 |
| 4.239 |
| 5.749 |
| 9.279 |
| Property |
Value |
| from where |
shu-72 |