Se2Tl2
MatHub2d-1065-Se2Tl2
| Property |
Value |
| Space group |
(187, 'P-6m2') |
| Crystal system |
hexagonal |
| Magnetic |
No |
| Band gap (PBE) (eV) |
0.48 |
| Free energy (eV) |
-12.150 |
| Free energy / atom (eV) |
-3.037 |
Lattice Parameters (basic)
| a, b, c (Å): | 4.223 | 4.223 | 30.000 |
| α, β, γ (°): | 90.000 | 90.000 | 120.000 |
Lattice Parameters (computed)
| a, b, c (Å): | 4.241 | 4.241 | 30.000 |
| α, β, γ (°): | 90.000 | 90.000 | 120.000 |
| Property |
Value |
| Band gap |
0.48 eV |
| E-fermi |
-3.257 eV |
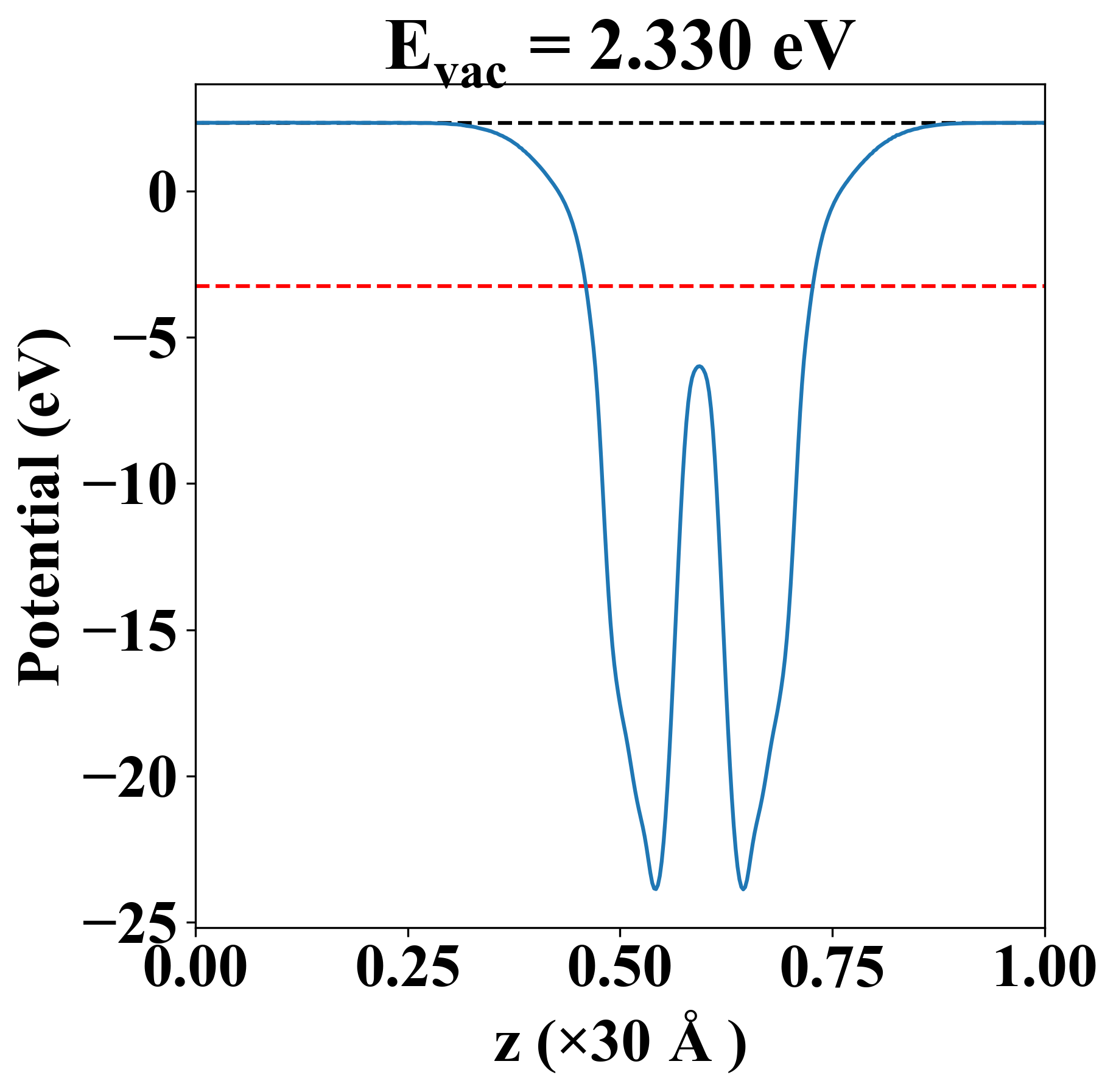
| Vacuum level |
2.330 eV |
| VBM |
-3.515 eV |
| CBM |
-3.034 eV |
| Work function |
5.587 eV |
| Direct gap |
No |
| Property |
Value |
| Band gap |
0.45 eV |
| E-fermi |
-3.263 eV |
| VBM |
-3.483 eV |
| CBM |
-3.030 eV |
| Free energy (eV) |
-12.766 |
| Free energy / atom (eV) |
-3.191 |
| Property |
Value |
| Band gap |
0.48 eV |
| E-fermi |
-3.257 eV |
| Vacuum level |
2.330 eV |
| VBM |
-3.515 eV |
| CBM |
-3.034 eV |
| Work function |
5.587 eV |
| Cij (N/m) |
xx |
yy |
xy |
| xx |
34.326 |
7.900 |
0.000 |
| yy |
7.900 |
34.326 |
-0.000 |
| xy |
0.000 |
-0.000 |
13.213 |
| Phonon mode at Γ point (THz) |
| -0.003 |
| -0.003 |
| -0.000 |
| 0.727 |
| 0.727 |
| 2.347 |
| 3.846 |
| 3.846 |
| 3.923 |
| 3.923 |
| 4.527 |
| 4.826 |
| Carrier type |
C2D (N/m) |
Edef (eV) |
μ (cm2V-1s-1) |
| x |
y |
x |
y |
x |
y |
| hole |
34.29 |
34.83 |
1.91 |
1.47 |
-28.51 |
-49.03 |
| electron |
-4.04 |
-4.25 |
226.04 |
207.56 |
| Property |
Value |
| from where |
c2db-1708 |