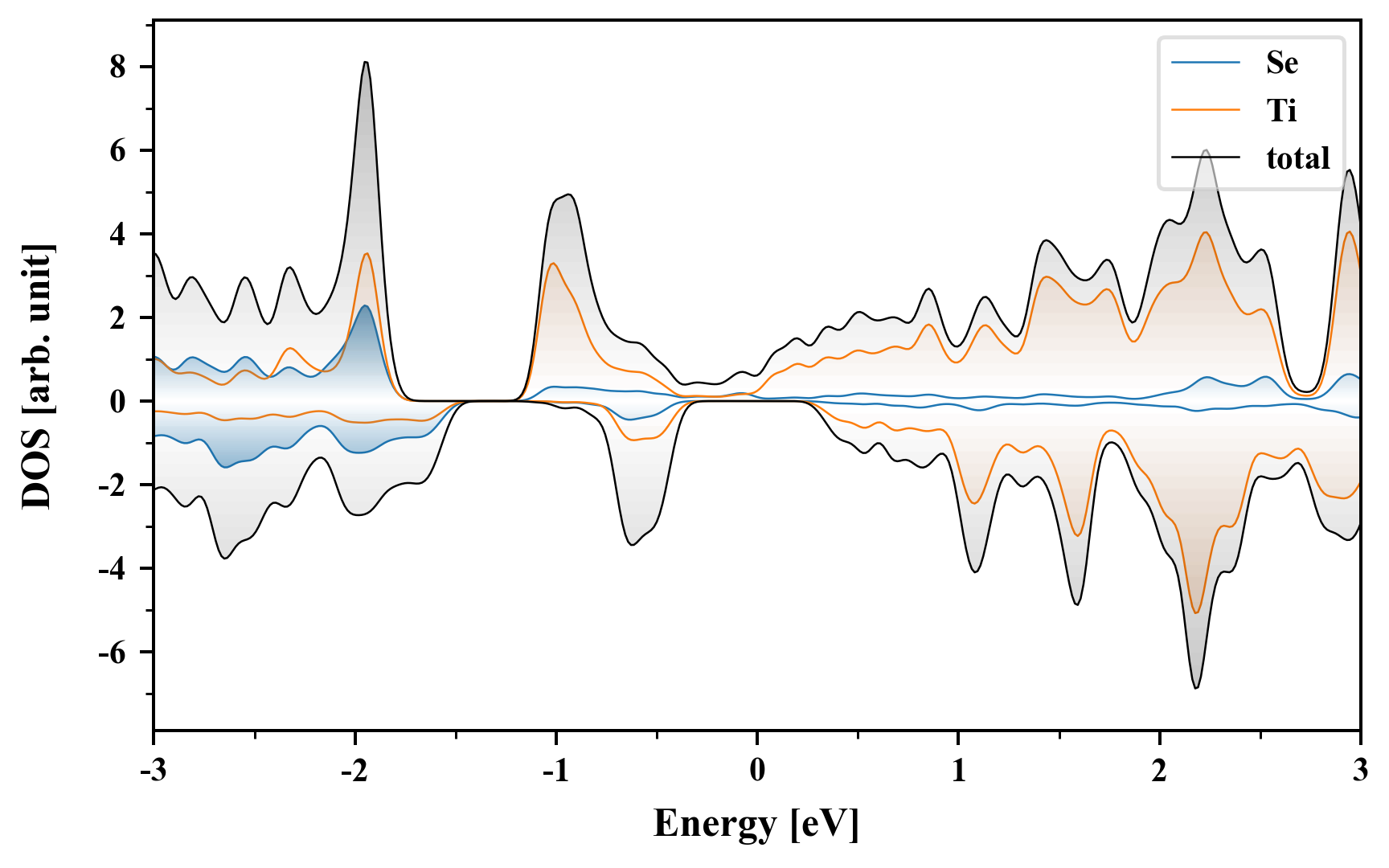
Se2Ti2
MatHub2d-1064-Se2Ti2
| Property |
Value |
| Space group |
(187, 'P-6m2') |
| Crystal system |
hexagonal |
| Magnetic |
Yes |
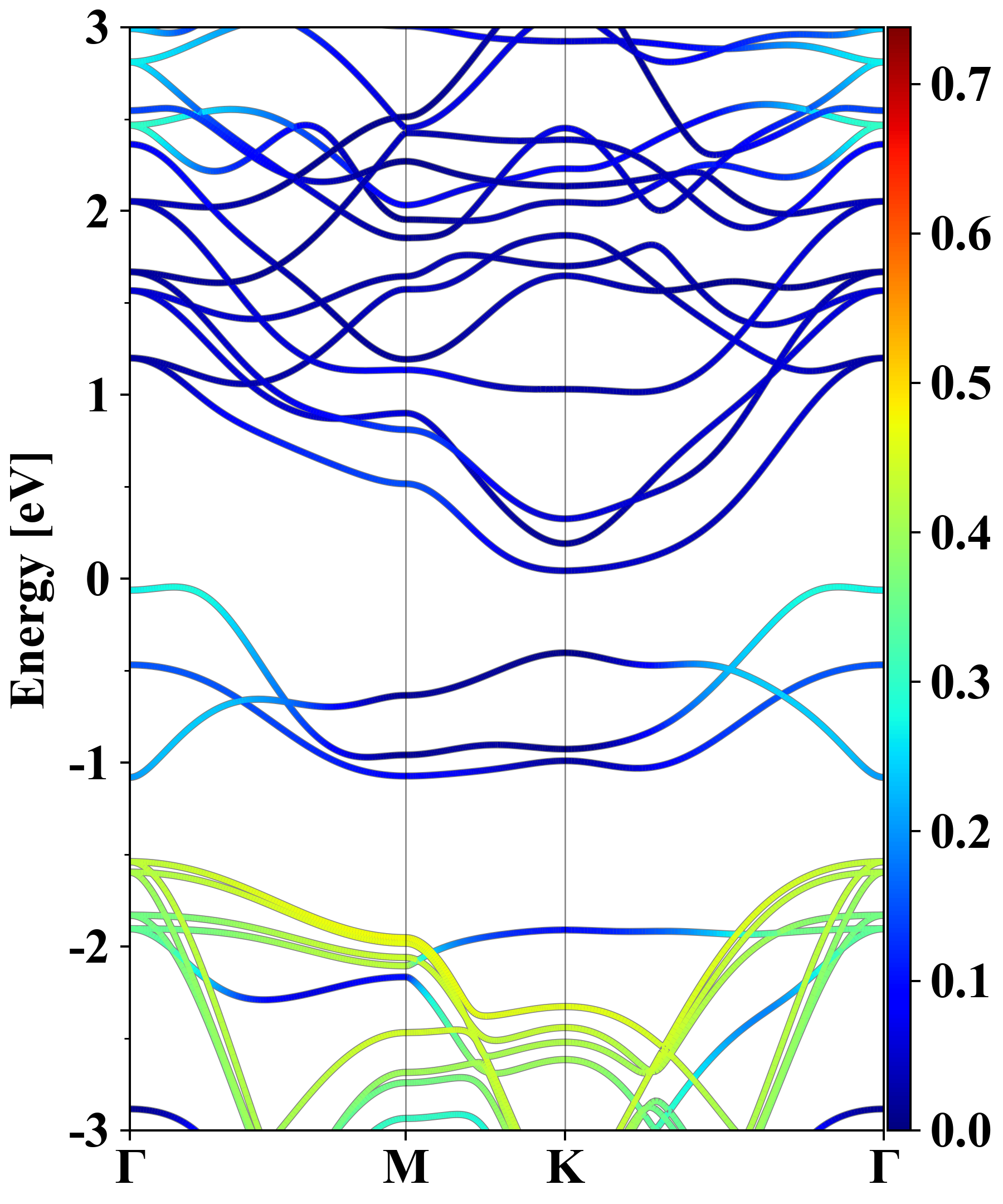
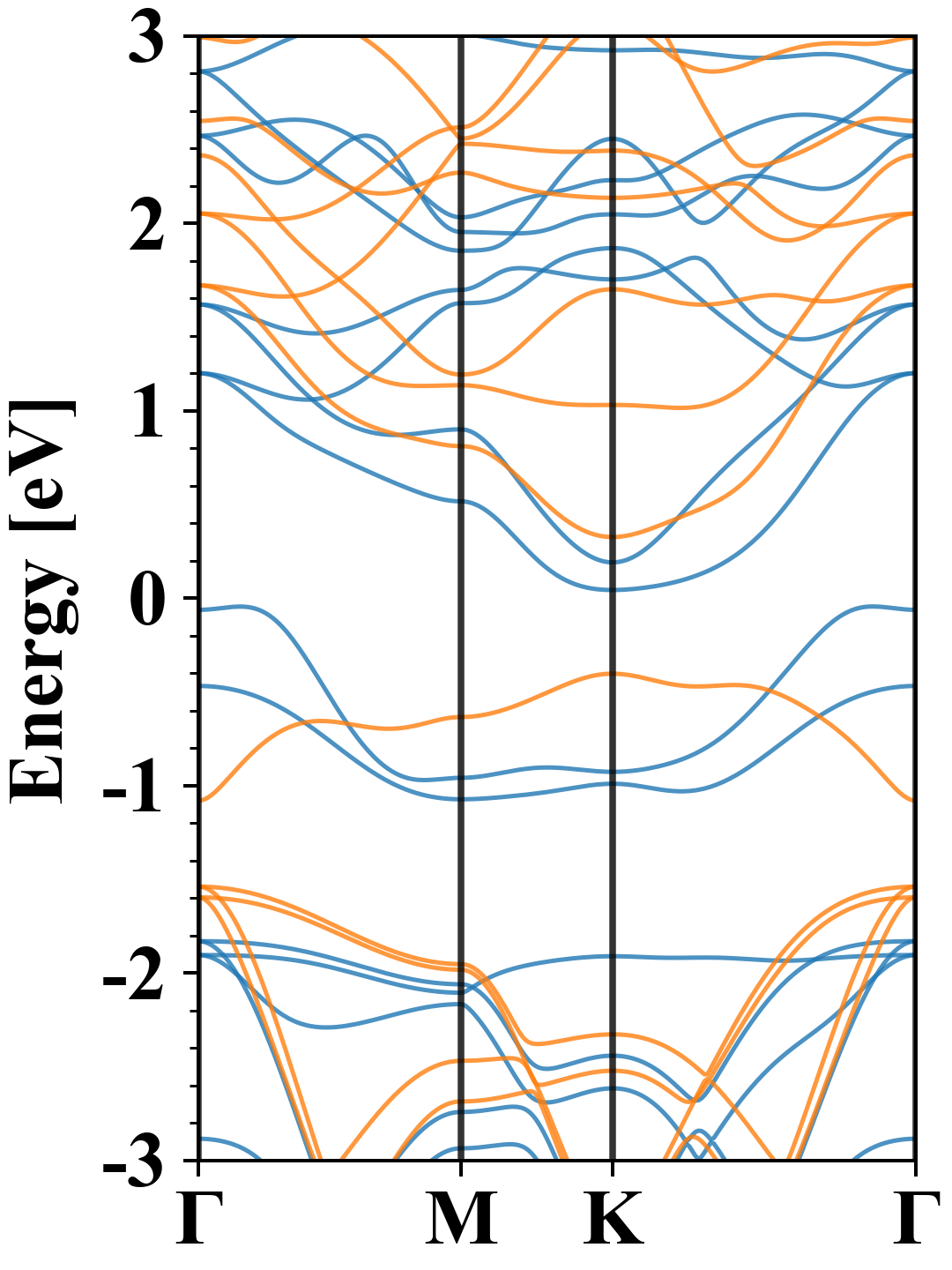
| Band gap (PBE) (eV) |
0.09 |
| Free energy (eV) |
-18.987 |
| Free energy / atom (eV) |
-4.747 |
Lattice Parameters (basic)
| a, b, c (Å): | 3.521 | 3.521 | 30.000 |
| α, β, γ (°): | 90.000 | 90.000 | 120.000 |
Lattice Parameters (computed)
| a, b, c (Å): | 3.646 | 3.646 | 30.000 |
| α, β, γ (°): | 90.000 | 90.000 | 120.000 |
| Property |
Value |
| Band gap |
0.09 eV |
| E-fermi |
-2.384 eV |
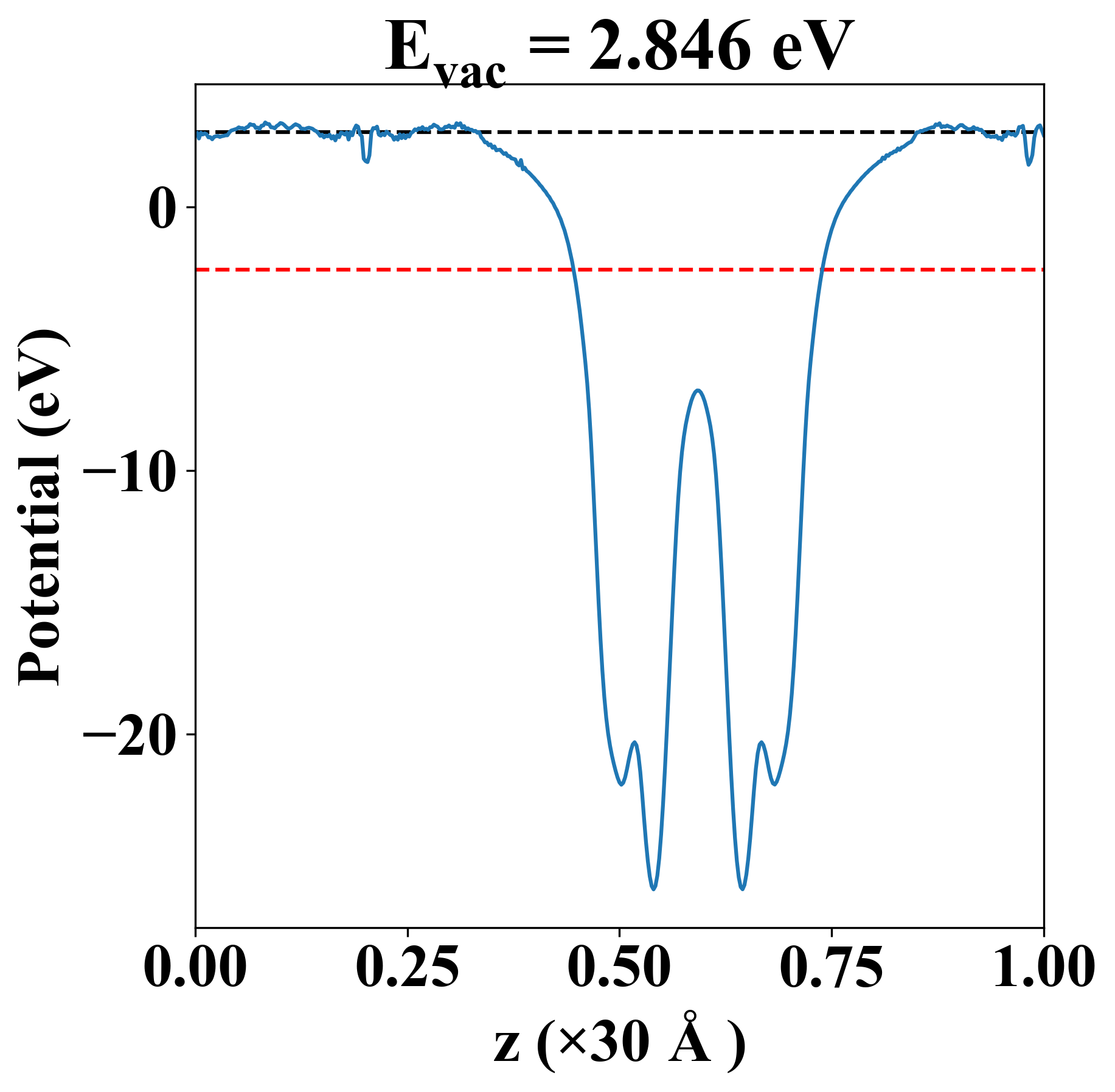
| Vacuum level |
2.846 eV |
| VBM |
-2.429 eV |
| CBM |
-2.341 eV |
| Work function |
5.230 eV |
| Direct gap |
No |
| Property |
Value |
| Band gap |
0.09 eV |
| E-fermi |
-2.384 eV |
| Vacuum level |
2.846 eV |
| VBM |
-2.429 eV |
| CBM |
-2.341 eV |
| Work function |
5.230 eV |
| Cij (N/m) |
xx |
yy |
xy |
| xx |
21.246 |
-14.630 |
0.000 |
| yy |
-14.630 |
21.246 |
0.000 |
| xy |
0.000 |
0.000 |
17.938 |
| Phonon mode at Γ point (THz) |
| -0.589 |
| -0.589 |
| -0.003 |
| 0.001 |
| 0.001 |
| 0.813 |
| 5.299 |
| 5.299 |
| 5.300 |
| 5.300 |
| 7.285 |
| 7.496 |
| Property |
Value |
| from where |
c2db-1703 |