Se2Ti1
MatHub2d-1063-Se2Ti1
| Property |
Value |
| Space group |
(187, 'P-6m2') |
| Crystal system |
hexagonal |
| Magnetic |
No |
| Band gap (PBE) (eV) |
1.05 |
| Free energy (eV) |
-14.838 |
| Free energy / atom (eV) |
-4.946 |
Lattice Parameters (basic)
| a, b, c (Å): | 3.495 | 3.495 | 30.000 |
| α, β, γ (°): | 90.000 | 90.000 | 120.000 |
Lattice Parameters (computed)
| a, b, c (Å): | 3.556 | 3.556 | 30.000 |
| α, β, γ (°): | 90.000 | 90.000 | 120.000 |
| Property |
Value |
| Band gap |
1.05 eV |
| E-fermi |
-3.979 eV |
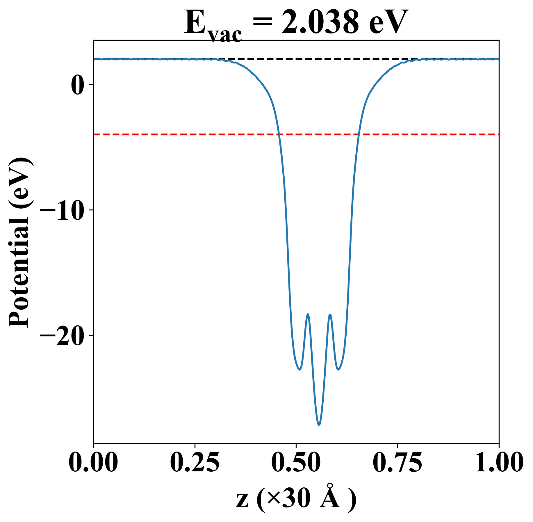
| Vacuum level |
2.038 eV |
| VBM |
-4.216 eV |
| CBM |
-3.169 eV |
| Work function |
6.017 eV |
| Direct gap |
No |
| Property |
Value |
| Band gap |
0.98 eV |
| E-fermi |
-3.917 eV |
| VBM |
-4.152 eV |
| CBM |
-3.176 eV |
| Free energy (eV) |
-14.886 |
| Free energy / atom (eV) |
-4.962 |
| Property |
Value |
| Band gap |
1.05 eV |
| E-fermi |
-3.979 eV |
| Vacuum level |
2.038 eV |
| VBM |
-4.216 eV |
| CBM |
-3.169 eV |
| Work function |
6.017 eV |
| Cij (N/m) |
xx |
yy |
xy |
| xx |
68.341 |
21.400 |
-0.000 |
| yy |
21.400 |
68.341 |
-0.000 |
| xy |
-0.000 |
-0.000 |
23.470 |
| Phonon mode at Γ point (THz) |
| -0.002 |
| -0.002 |
| -0.002 |
| 1.585 |
| 1.585 |
| 6.128 |
| 6.456 |
| 6.456 |
| 8.361 |
| Property |
Value |
| from where |
c2db-646 |