Se2Ti1
MatHub2d-1062-Se2Ti1
| Property |
Value |
| Space group |
(164, 'P-3m1') |
| Crystal system |
hexagonal |
| Magnetic |
|
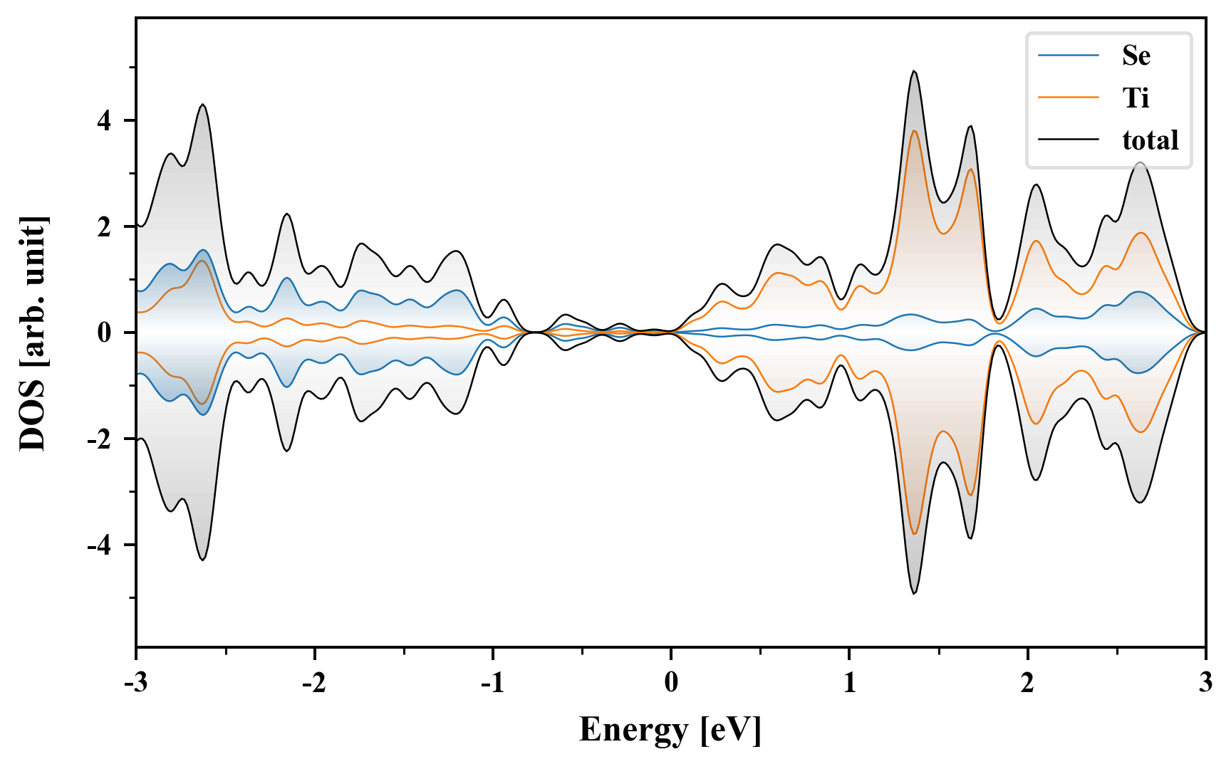
| Band gap (PBE) (eV) |
0.20 |
| Free energy (eV) |
-15.267 |
| Free energy / atom (eV) |
-5.089 |
Lattice Parameters (basic)
| a, b, c (Å): | 3.515 | 3.515 | 30.000 |
| α, β, γ (°): | 90.000 | 90.000 | 120.000 |
Lattice Parameters (computed)
| a, b, c (Å): | 3.633 | 3.633 | 30.000 |
| α, β, γ (°): | 90.000 | 90.000 | 120.000 |
| Property |
Value |
| Band gap |
0.20 eV |
| E-fermi |
-3.143 eV |
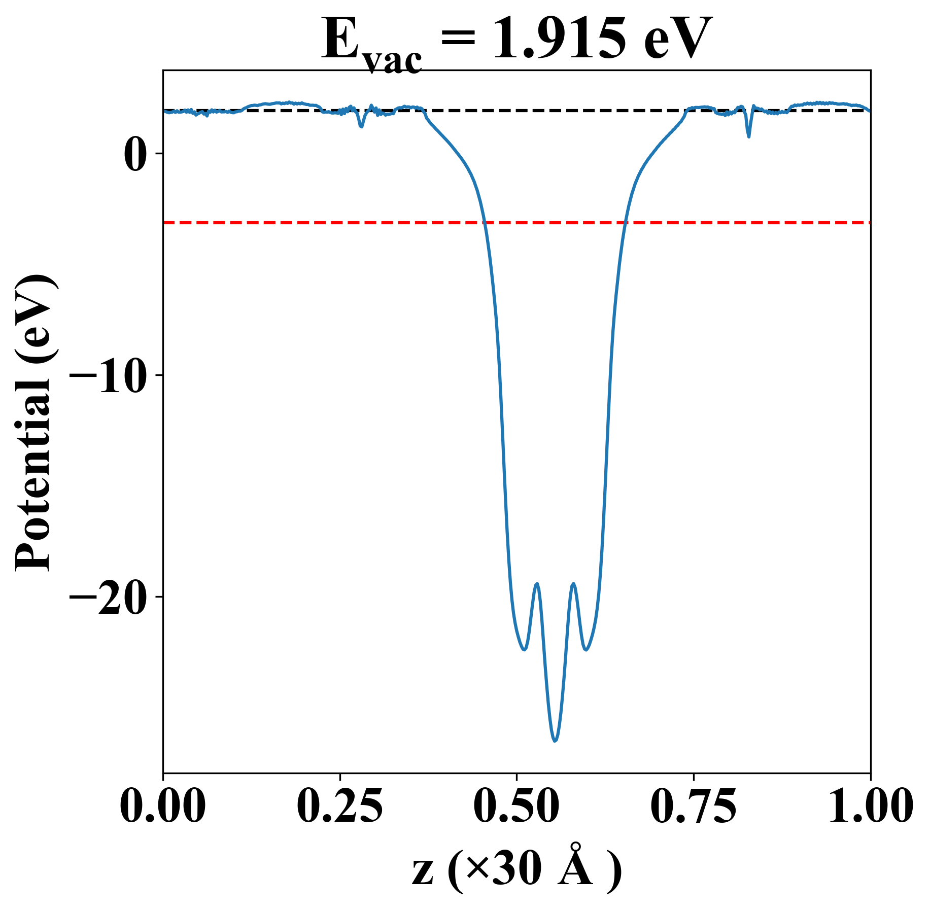
| Vacuum level |
1.915 eV |
| VBM |
-3.241 eV |
| CBM |
-3.042 eV |
| Work function |
5.058 eV |
| Direct gap |
No |
| Property |
Value |
| Band gap |
0.20 eV |
| E-fermi |
-3.143 eV |
| Vacuum level |
1.915 eV |
| VBM |
-3.241 eV |
| CBM |
-3.042 eV |
| Work function |
5.058 eV |
| Cij (N/m) |
xx |
yy |
xy |
| xx |
55.202 |
11.677 |
0.000 |
| yy |
11.677 |
55.202 |
0.000 |
| xy |
0.000 |
0.000 |
21.762 |
| Phonon mode at Γ point (THz) |
| -0.001 |
| -0.001 |
| 0.001 |
| 2.791 |
| 2.791 |
| 3.821 |
| 3.821 |
| 5.371 |
| 8.166 |
| Property |
Value |
| from where |
shu-67 |