Se2Ta2
MatHub2d-1061-Se2Ta2
| Property |
Value |
| Space group |
(187, 'P-6m2') |
| Crystal system |
hexagonal |
| Magnetic |
Yes |
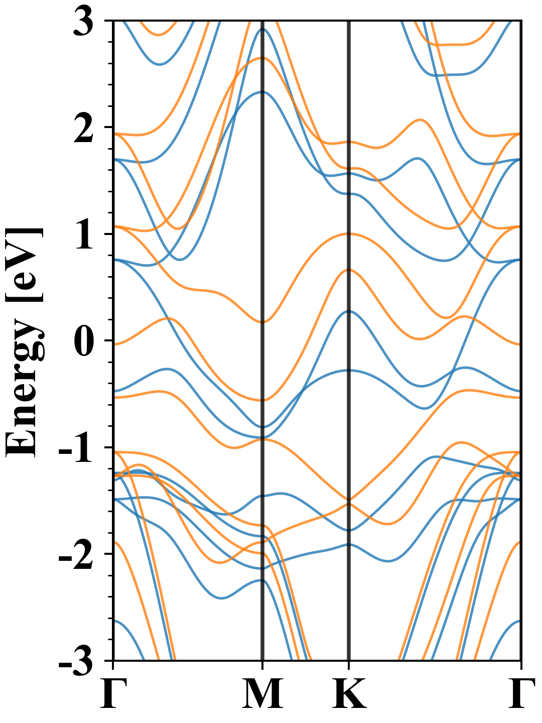
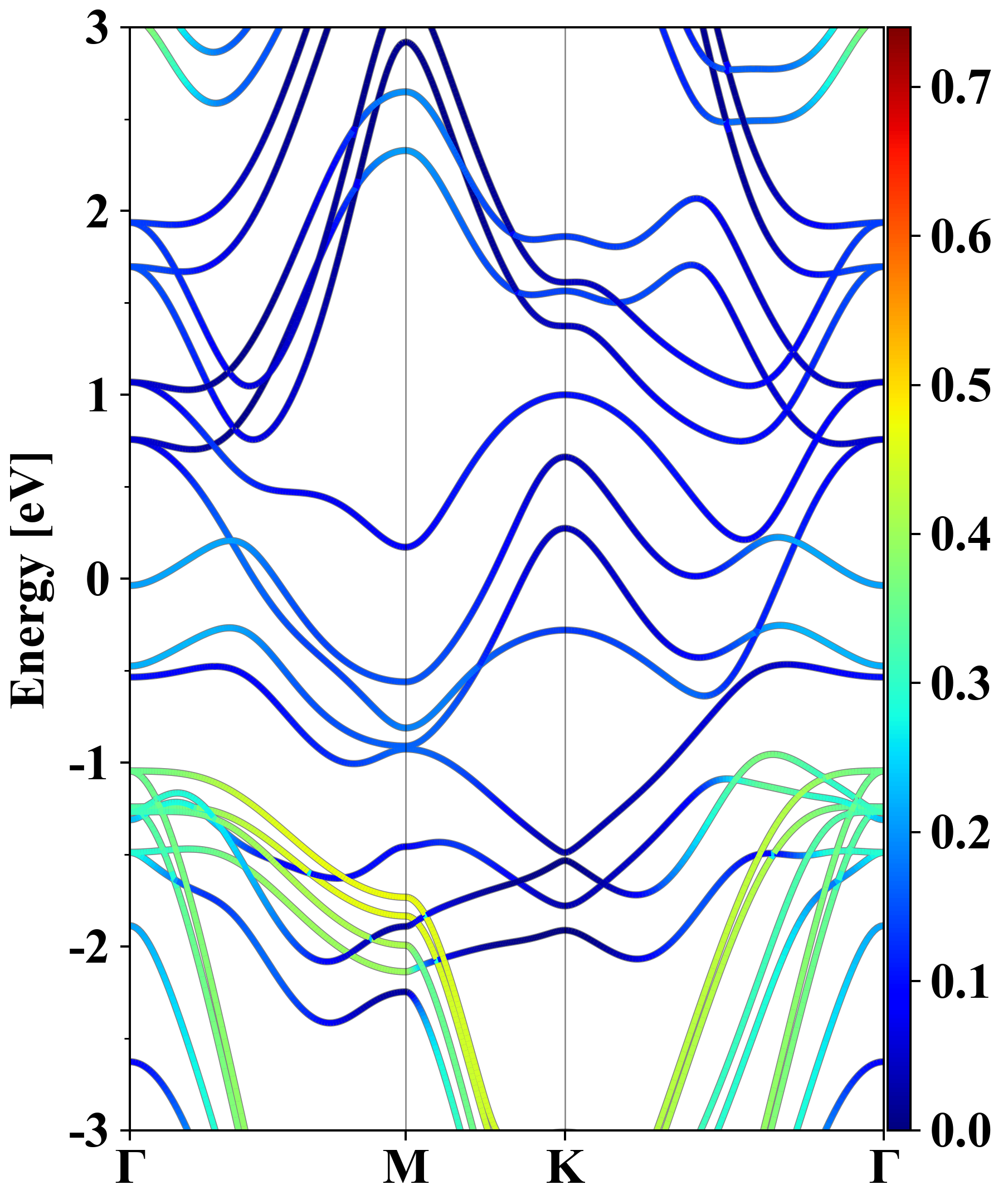
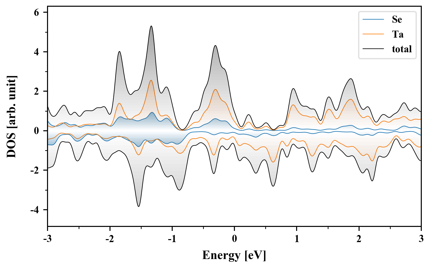
| Band gap (PBE) (eV) |
0.00 |
| Free energy (eV) |
-27.544 |
| Free energy / atom (eV) |
-6.886 |
Lattice Parameters (basic)
| a, b, c (Å): | 3.245 | 3.245 | 30.000 |
| α, β, γ (°): | 90.000 | 90.000 | 120.000 |
Lattice Parameters (computed)
| a, b, c (Å): | 3.297 | 3.297 | 30.000 |
| α, β, γ (°): | 90.000 | 90.000 | 120.000 |
| Property |
Value |
| Band gap |
0.00 eV |
| E-fermi |
-1.908 eV |
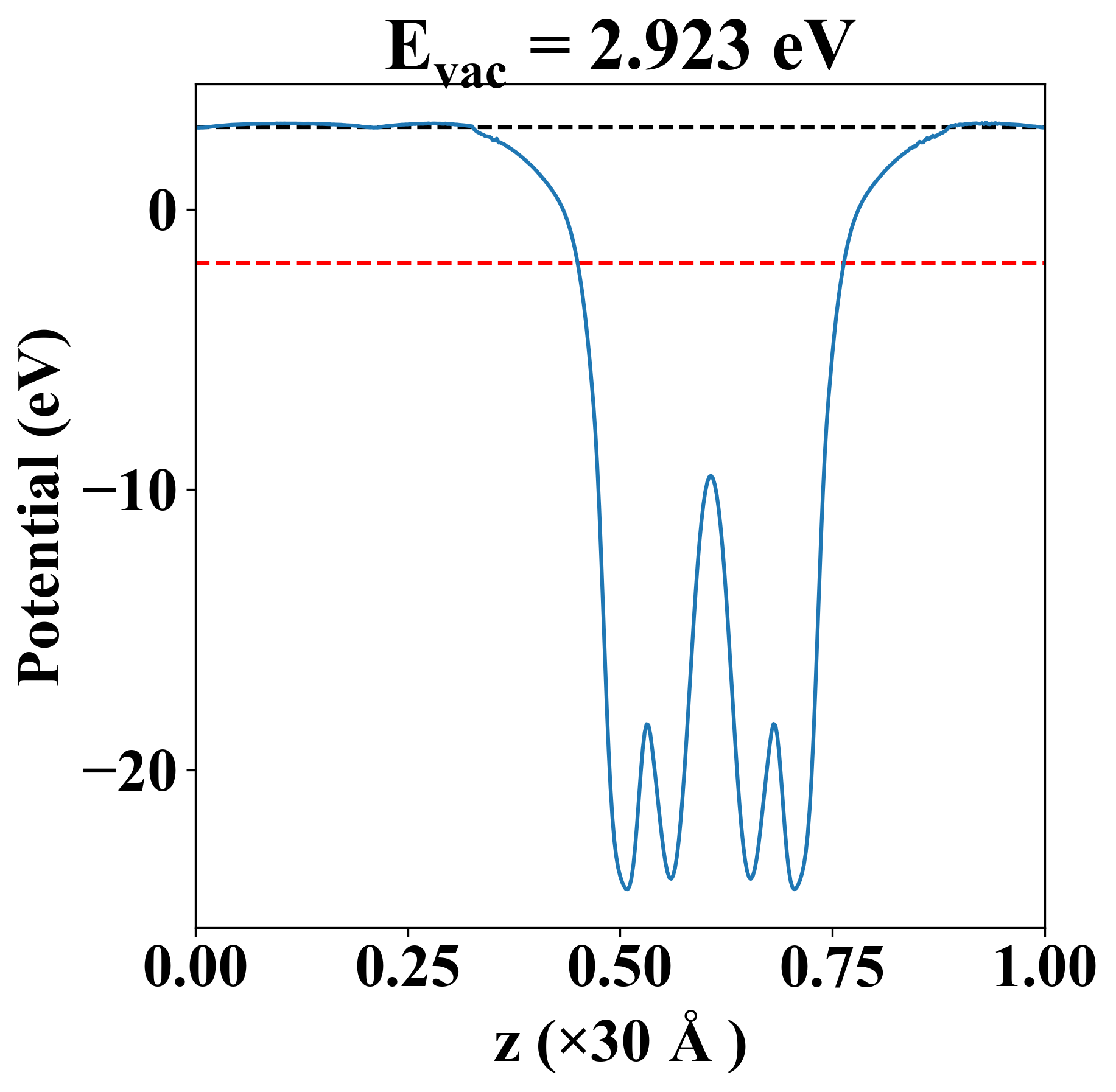
| Vacuum level |
2.923 eV |
| VBM |
-1.908 eV |
| CBM |
-1.904 eV |
| Work function |
4.831 eV |
| Direct gap |
No |
| Property |
Value |
| Band gap |
0.00 eV |
| E-fermi |
-1.908 eV |
| Vacuum level |
2.923 eV |
| VBM |
-1.908 eV |
| CBM |
-1.904 eV |
| Work function |
4.831 eV |
| Cij (N/m) |
xx |
yy |
xy |
| xx |
62.268 |
-37.558 |
0.000 |
| yy |
-37.558 |
62.268 |
0.000 |
| xy |
0.000 |
0.000 |
49.913 |
| Phonon mode at Γ point (THz) |
| -1.944 |
| -1.944 |
| 0.000 |
| 0.000 |
| 0.001 |
| 2.841 |
| 4.784 |
| 4.784 |
| 4.831 |
| 4.831 |
| 6.966 |
| 7.602 |
| Property |
Value |
| from where |
c2db-1697 |