Se2Ta1
MatHub2d-1060-Se2Ta1
| Property |
Value |
| Space group |
(187, 'P-6m2') |
| Crystal system |
hexagonal |
| Magnetic |
Yes |
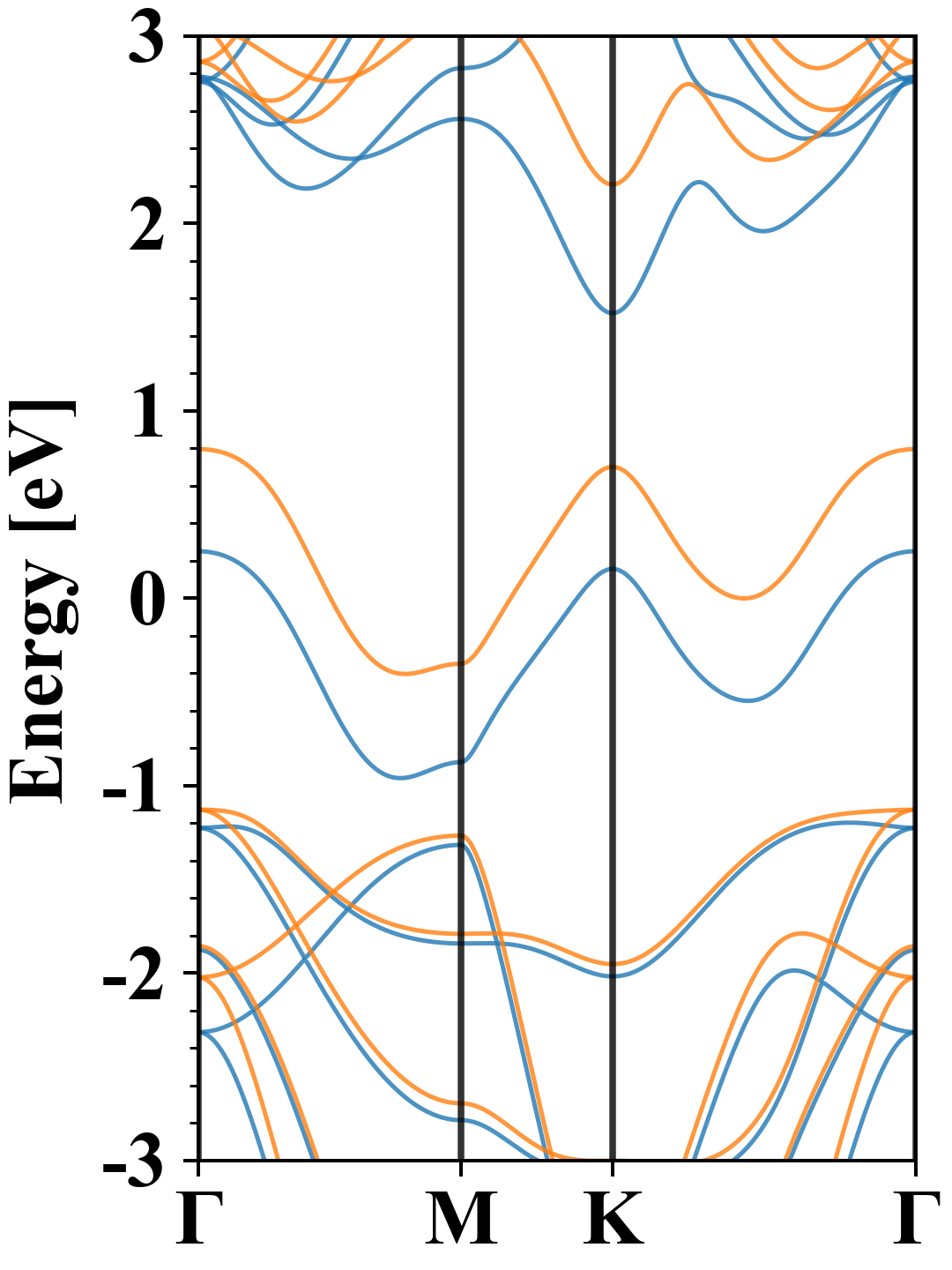
| Band gap (PBE) (eV) |
0.00 |
| Free energy (eV) |
-19.524 |
| Free energy / atom (eV) |
-6.508 |
Lattice Parameters (basic)
| a, b, c (Å): | 3.471 | 3.471 | 30.000 |
| α, β, γ (°): | 90.000 | 90.000 | 120.000 |
Lattice Parameters (computed)
| a, b, c (Å): | 3.496 | 3.496 | 30.000 |
| α, β, γ (°): | 90.000 | 90.000 | 120.000 |
| Property |
Value |
| Band gap |
0.00 eV |
| E-fermi |
-3.113 eV |
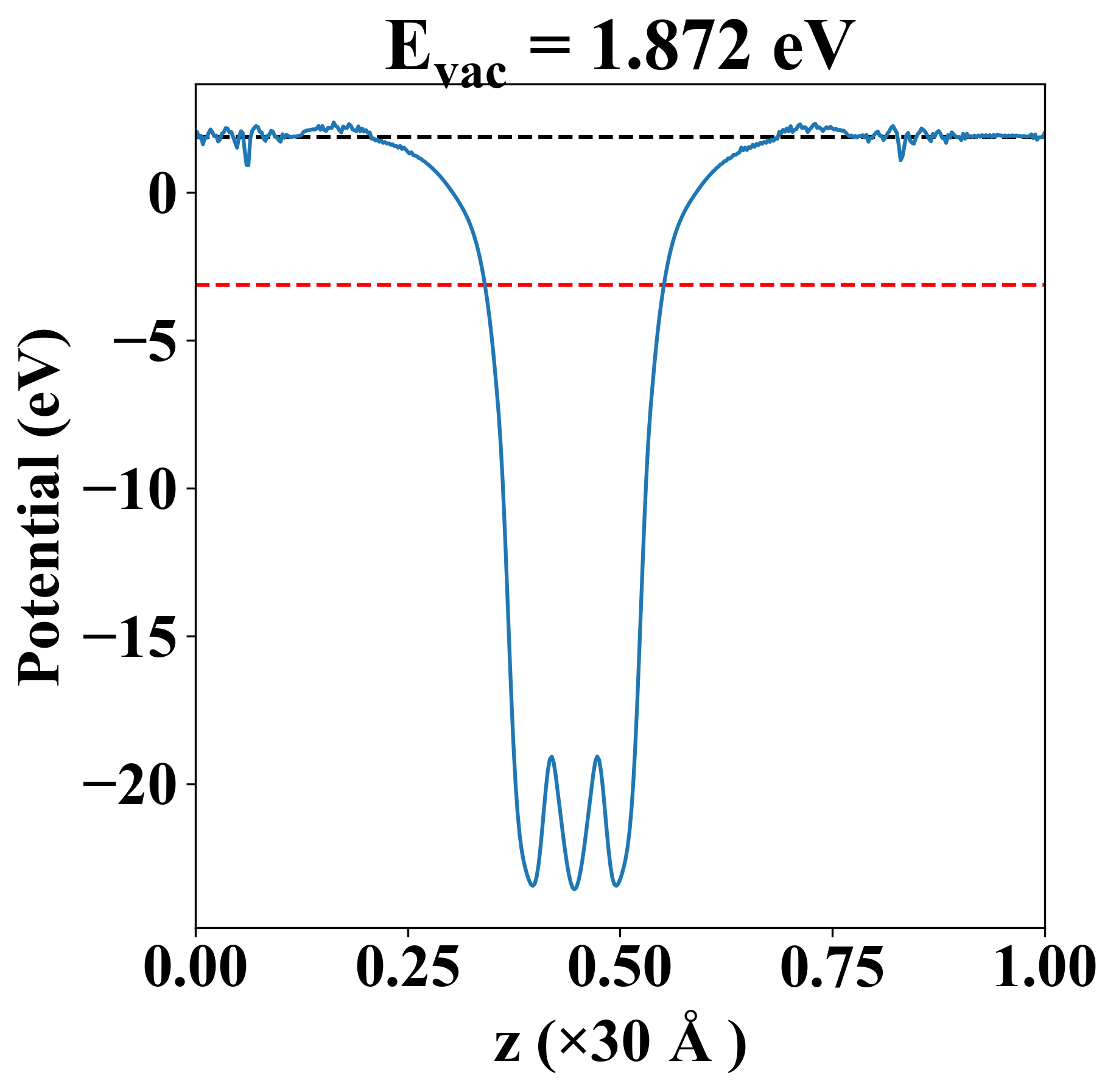
| Vacuum level |
1.872 eV |
| VBM |
-3.113 eV |
| CBM |
-3.112 eV |
| Work function |
4.985 eV |
| Direct gap |
No |
| Property |
Value |
| Band gap |
0.00 eV |
| E-fermi |
-3.113 eV |
| Vacuum level |
1.872 eV |
| VBM |
-3.113 eV |
| CBM |
-3.112 eV |
| Work function |
4.985 eV |
| Cij (N/m) |
xx |
yy |
xy |
| xx |
94.167 |
31.139 |
0.000 |
| yy |
31.139 |
94.167 |
0.000 |
| xy |
0.000 |
0.000 |
31.514 |
| Phonon mode at Γ point (THz) |
| -0.002 |
| -0.002 |
| 0.001 |
| 3.752 |
| 3.752 |
| 5.765 |
| 5.765 |
| 6.708 |
| 7.341 |
| Property |
Value |
| from where |
c2db-638 |