Se2Ta1
MatHub2d-1059-Se2Ta1
| Property |
Value |
| Space group |
(164, 'P-3m1') |
| Crystal system |
hexagonal |
| Magnetic |
|
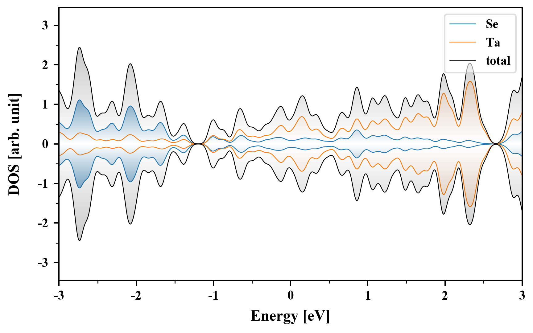
| Band gap (PBE) (eV) |
0.00 |
| Free energy (eV) |
-19.464 |
| Free energy / atom (eV) |
-6.488 |
Lattice Parameters (basic)
| a, b, c (Å): | 3.503 | 3.503 | 30.000 |
| α, β, γ (°): | 90.000 | 90.000 | 120.000 |
Lattice Parameters (computed)
| a, b, c (Å): | 3.531 | 3.531 | 30.000 |
| α, β, γ (°): | 90.000 | 90.000 | 120.000 |
| Property |
Value |
| Band gap |
0.00 eV |
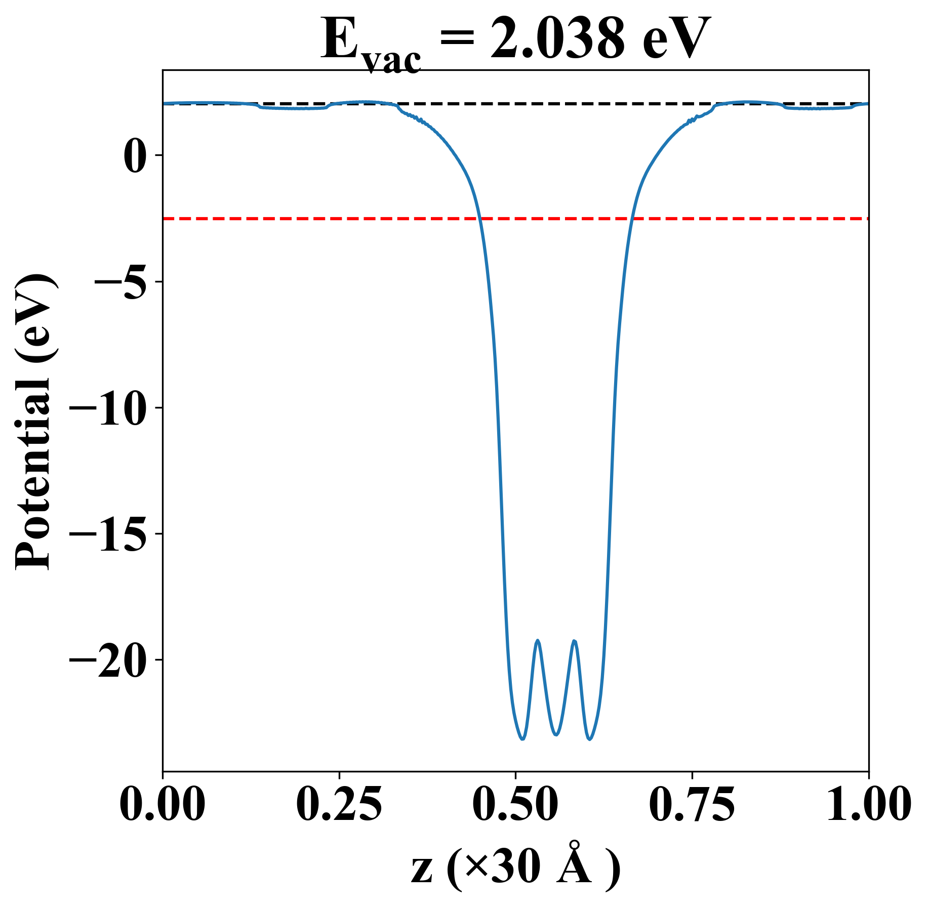
| E-fermi |
-2.514 eV |
| Vacuum level |
2.038 eV |
| VBM |
-2.514 eV |
| CBM |
-2.513 eV |
| Work function |
4.551 eV |
| Direct gap |
Yes |
| Property |
Value |
| Band gap |
0.00 eV |
| E-fermi |
-2.514 eV |
| Vacuum level |
2.038 eV |
| VBM |
-2.514 eV |
| CBM |
-2.513 eV |
| Work function |
4.551 eV |
| Cij (N/m) |
xx |
yy |
xy |
| xx |
76.539 |
15.145 |
-0.000 |
| yy |
15.145 |
76.539 |
0.000 |
| xy |
-0.000 |
0.000 |
30.697 |
| Phonon mode at Γ point (THz) |
| -0.007 |
| -0.007 |
| -0.001 |
| 3.984 |
| 3.984 |
| 4.376 |
| 4.376 |
| 6.322 |
| 7.556 |
| Property |
Value |
| from where |
c2db-637 |