Se2Sn1
MatHub2d-1058-Se2Sn1
| Property |
Value |
| Space group |
(187, 'P-6m2') |
| Crystal system |
hexagonal |
| Magnetic |
No |
| Band gap (PBE) (eV) |
0.06 |
| Free energy (eV) |
-11.281 |
| Free energy / atom (eV) |
-3.760 |
Lattice Parameters (basic)
| a, b, c (Å): | 3.789 | 3.789 | 30.000 |
| α, β, γ (°): | 90.000 | 90.000 | 120.000 |
Lattice Parameters (computed)
| a, b, c (Å): | 3.757 | 3.757 | 30.000 |
| α, β, γ (°): | 90.000 | 90.000 | 120.000 |
| Property |
Value |
| Band gap |
0.06 eV |
| E-fermi |
-3.430 eV |
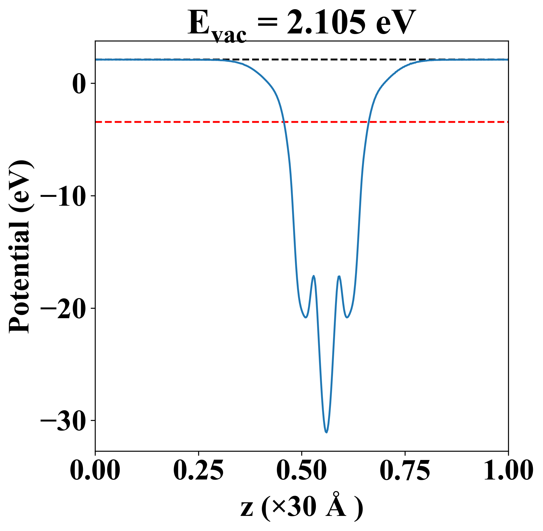
| Vacuum level |
2.105 eV |
| VBM |
-3.469 eV |
| CBM |
-3.406 eV |
| Work function |
5.535 eV |
| Direct gap |
No |
| Property |
Value |
| Band gap |
0.06 eV |
| E-fermi |
-3.430 eV |
| Vacuum level |
2.105 eV |
| VBM |
-3.469 eV |
| CBM |
-3.406 eV |
| Work function |
5.535 eV |
| Cij (N/m) |
xx |
yy |
xy |
| xx |
73.815 |
23.065 |
-0.000 |
| yy |
23.065 |
73.815 |
-0.000 |
| xy |
-0.000 |
-0.000 |
25.375 |
| Phonon mode at Γ point (THz) |
| -2.452 |
| -2.452 |
| -0.009 |
| -0.009 |
| -0.001 |
| 4.170 |
| 4.170 |
| 6.176 |
| 7.095 |
| Property |
Value |
| from where |
c2db-629 |