Se2Sn1
MatHub2d-1057-Se2Sn1
| Property |
Value |
| Space group |
(164, 'P-3m1') |
| Crystal system |
hexagonal |
| Magnetic |
No |
| Band gap (PBE) (eV) |
0.88 |
| Free energy (eV) |
-12.125 |
| Free energy / atom (eV) |
-4.042 |
Lattice Parameters (basic)
| a, b, c (Å): | 3.861 | 3.861 | 30.000 |
| α, β, γ (°): | 90.000 | 90.000 | 120.000 |
Lattice Parameters (computed)
| a, b, c (Å): | 3.827 | 3.827 | 30.000 |
| α, β, γ (°): | 90.000 | 90.000 | 120.000 |
| Property |
Value |
| Band gap |
0.88 eV |
| E-fermi |
-3.759 eV |
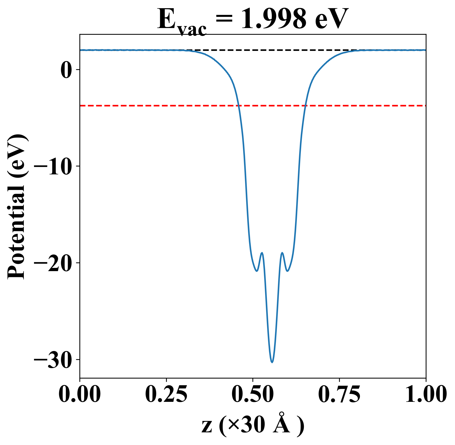
| Vacuum level |
1.998 eV |
| VBM |
-4.028 eV |
| CBM |
-3.150 eV |
| Work function |
5.757 eV |
| Direct gap |
No |
| Property |
Value |
| Band gap |
0.88 eV |
| E-fermi |
-3.736 eV |
| VBM |
-4.020 eV |
| CBM |
-3.142 eV |
| Free energy (eV) |
-12.215 |
| Free energy / atom (eV) |
-4.072 |
| Property |
Value |
| Band gap |
0.88 eV |
| E-fermi |
-3.759 eV |
| Vacuum level |
1.998 eV |
| VBM |
-4.028 eV |
| CBM |
-3.150 eV |
| Work function |
5.757 eV |
| Cij (N/m) |
xx |
yy |
xy |
| xx |
63.147 |
15.550 |
0.000 |
| yy |
15.550 |
63.147 |
0.000 |
| xy |
0.000 |
0.000 |
23.798 |
| Phonon mode at Γ point (THz) |
| -0.004 |
| -0.004 |
| -0.002 |
| 3.350 |
| 3.350 |
| 4.481 |
| 4.481 |
| 5.526 |
| 7.729 |
| Carrier type |
C2D (N/m) |
Edef (eV) |
μ (cm2V-1s-1) |
| x |
y |
x |
y |
x |
y |
| hole |
62.43 |
62.24 |
-3.39 |
-6.07 |
-81.44 |
-25.34 |
| electron |
-0.57 |
-5.35 |
13288.35 |
150.48 |
| Property |
Value |
| from where |
JVASP-762 |