Se1Yb1
MatHub2d-1056-Se1Yb1
| Property |
Value |
| Space group |
(187, 'P-6m2') |
| Crystal system |
hexagonal |
| Magnetic |
No |
| Band gap (PBE) (eV) |
2.75 |
| Free energy (eV) |
-7.707 |
| Free energy / atom (eV) |
-3.854 |
Lattice Parameters (basic)
| a, b, c (Å): | 4.753 | 4.753 | 30.000 |
| α, β, γ (°): | 90.000 | 90.000 | 120.000 |
Lattice Parameters (computed)
| a, b, c (Å): | 4.776 | 4.776 | 30.000 |
| α, β, γ (°): | 90.000 | 90.000 | 120.000 |
| Property |
Value |
| Band gap |
2.75 eV |
| E-fermi |
-4.376 eV |
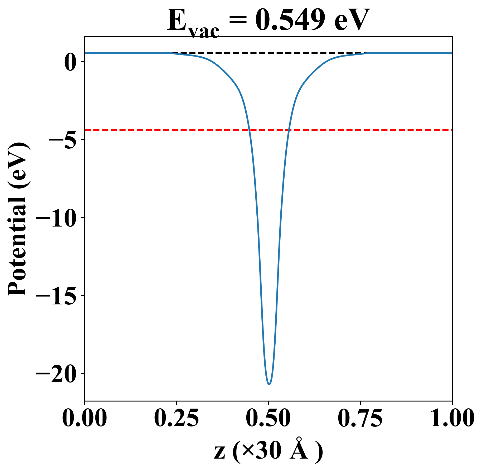
| Vacuum level |
0.549 eV |
| VBM |
-4.635 eV |
| CBM |
-1.880 eV |
| Work function |
4.925 eV |
| Direct gap |
No |
| Property |
Value |
| Band gap |
2.68 eV |
| E-fermi |
-4.279 eV |
| VBM |
-4.564 eV |
| CBM |
-1.889 eV |
| Free energy (eV) |
-8.029 |
| Free energy / atom (eV) |
-4.014 |
| Property |
Value |
| Band gap |
2.75 eV |
| E-fermi |
-4.376 eV |
| Vacuum level |
0.549 eV |
| VBM |
-4.635 eV |
| CBM |
-1.880 eV |
| Work function |
4.925 eV |
| Cij (N/m) |
xx |
yy |
xy |
| xx |
28.610 |
23.837 |
-0.000 |
| yy |
23.837 |
28.610 |
0.000 |
| xy |
-0.000 |
0.000 |
2.387 |
| Phonon mode at Γ point (THz) |
| -0.001 |
| -0.001 |
| -0.001 |
| 1.674 |
| 5.440 |
| 5.440 |
| Property |
Value |
| from where |
JVASP-6844 |