Se1Sn1
MatHub2d-1055-Se1Sn1
| Property |
Value |
| Space group |
(156, 'P3m1') |
| Crystal system |
hexagonal |
| Magnetic |
No |
| Band gap (PBE) (eV) |
2.18 |
| Free energy (eV) |
-8.037 |
| Free energy / atom (eV) |
-4.018 |
Lattice Parameters (basic)
| a, b, c (Å): | 3.907 | 3.907 | 30.000 |
| α, β, γ (°): | 90.000 | 90.000 | 120.000 |
Lattice Parameters (computed)
| a, b, c (Å): | 3.883 | 3.883 | 30.000 |
| α, β, γ (°): | 90.000 | 90.000 | 120.000 |
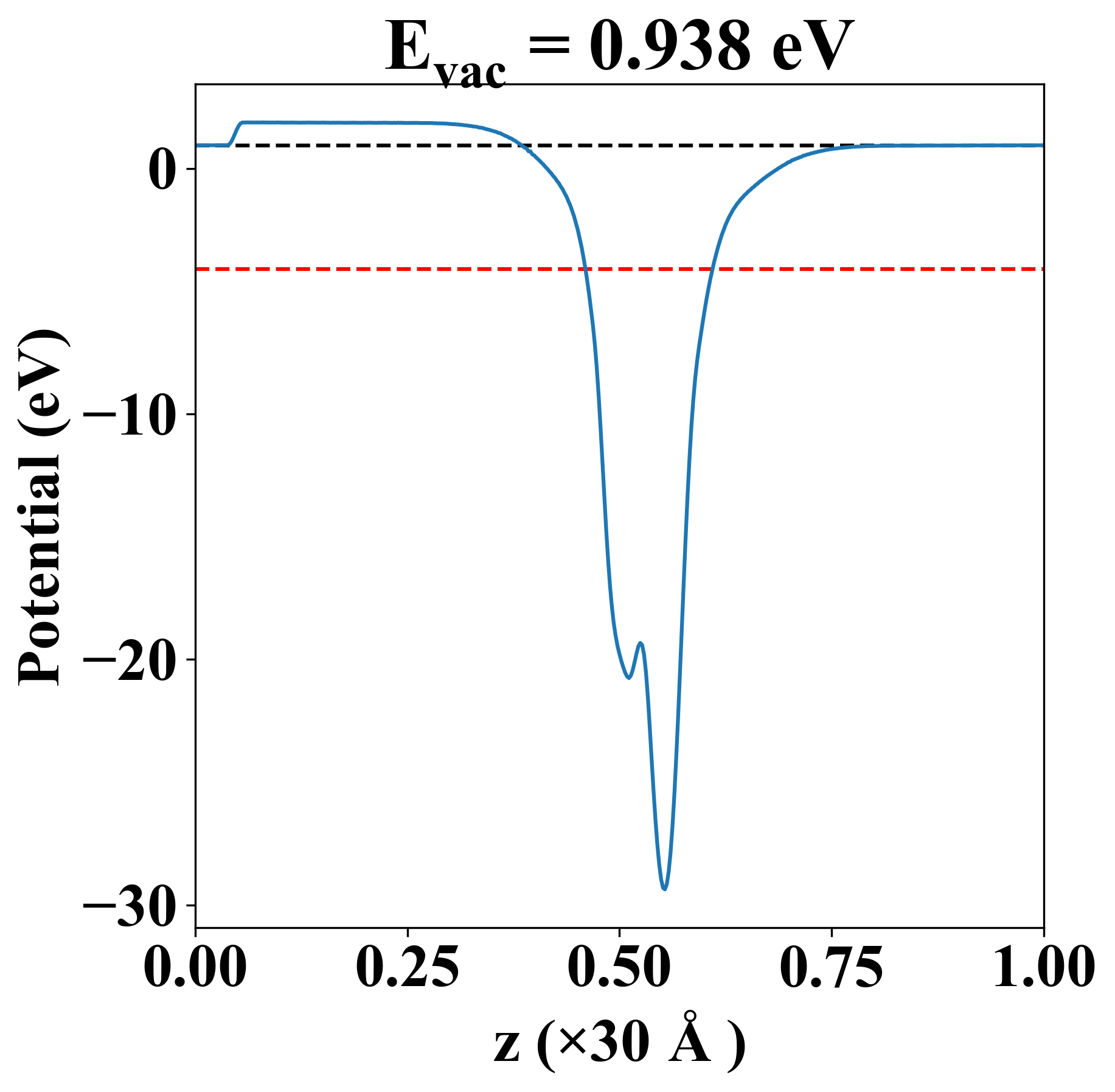
| Property |
Value |
| Band gap |
2.18 eV |
| E-fermi |
-4.112 eV |
| Vacuum level |
0.938 eV |
| VBM |
-4.339 eV |
| CBM |
-2.159 eV |
| Work function |
5.050 eV |
| Direct gap |
No |
| Property |
Value |
| Band gap |
2.12 eV |
| E-fermi |
-3.996 eV |
| VBM |
-4.279 eV |
| CBM |
-2.163 eV |
| Free energy (eV) |
-8.106 |
| Free energy / atom (eV) |
-4.053 |
| Property |
Value |
| Band gap |
2.18 eV |
| E-fermi |
-4.112 eV |
| Vacuum level |
0.938 eV |
| VBM |
-4.339 eV |
| CBM |
-2.159 eV |
| Work function |
5.050 eV |
| Cij (N/m) |
xx |
yy |
xy |
| xx |
25.460 |
6.389 |
0.000 |
| yy |
6.389 |
25.460 |
-0.000 |
| xy |
0.000 |
-0.000 |
9.535 |
| Phonon mode at Γ point (THz) |
| -0.007 |
| -0.007 |
| -0.003 |
| 4.596 |
| 4.596 |
| 6.813 |
| Property |
Value |
| from where |
c2db-704 |