Sc2Te2
MatHub2d-1054-Sc2Te2
| Property |
Value |
| Space group |
(187, 'P-6m2') |
| Crystal system |
hexagonal |
| Magnetic |
No |
| Band gap (PBE) (eV) |
0.36 |
| Free energy (eV) |
-18.696 |
| Free energy / atom (eV) |
-4.674 |
Lattice Parameters (basic)
| a, b, c (Å): | 4.079 | 4.079 | 30.000 |
| α, β, γ (°): | 90.000 | 90.000 | 120.000 |
Lattice Parameters (computed)
| a, b, c (Å): | 4.098 | 4.098 | 30.000 |
| α, β, γ (°): | 90.000 | 90.000 | 120.000 |
| Property |
Value |
| Band gap |
0.36 eV |
| E-fermi |
-2.021 eV |
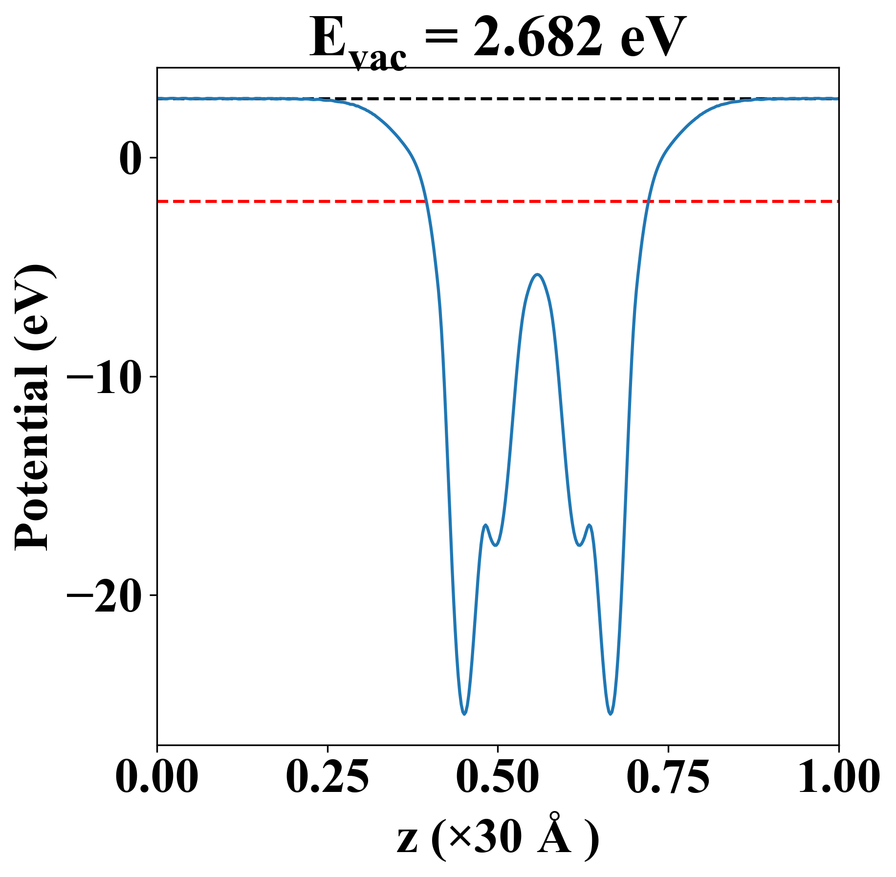
| Vacuum level |
2.682 eV |
| VBM |
-2.204 eV |
| CBM |
-1.841 eV |
| Work function |
4.704 eV |
| Direct gap |
No |
| Property |
Value |
| Band gap |
0.35 eV |
| E-fermi |
-2.001 eV |
| VBM |
-2.179 eV |
| CBM |
-1.827 eV |
| Free energy (eV) |
-18.897 |
| Free energy / atom (eV) |
-4.724 |
| Property |
Value |
| Band gap |
0.36 eV |
| E-fermi |
-2.021 eV |
| Vacuum level |
2.682 eV |
| VBM |
-2.204 eV |
| CBM |
-1.841 eV |
| Work function |
4.704 eV |
| Cij (N/m) |
xx |
yy |
xy |
| xx |
30.186 |
4.163 |
0.000 |
| yy |
4.163 |
30.186 |
-0.000 |
| xy |
0.000 |
-0.000 |
13.012 |
| Phonon mode at Γ point (THz) |
| -0.350 |
| -0.350 |
| -0.003 |
| -0.003 |
| -0.001 |
| 1.759 |
| 5.083 |
| 5.083 |
| 5.161 |
| 5.161 |
| 6.288 |
| 7.108 |
| Property |
Value |
| from where |
c2db-1693 |